EasyManua.ls Logo

ECD 100-181 - Page 32

ECD 100-181
75 pages
Print Icon
To Next Page IconTo Next Page
To Next Page IconTo Next Page
To Previous Page IconTo Previous Page
To Previous Page IconTo Previous Page
Loading...
I N P U T S O U T P U T S
DLI EEprom setting shall be ignored
.
. See DLI in EEprom settings.
DFCR input is switched via the external rear door close relay n/o contacts.
The rear doors close relays drop out via the rear door fully closed limit switches.
When the external rear door close relay is in DFCR LED will be on.
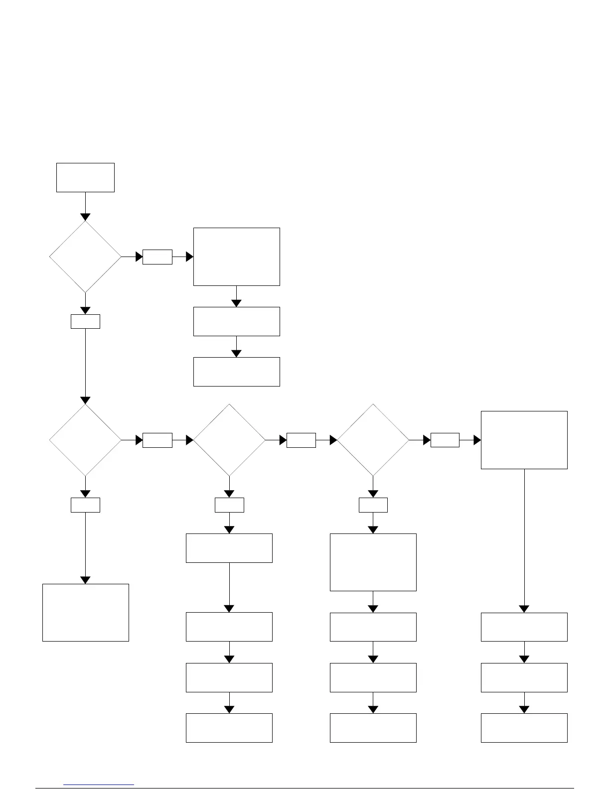
See the following DC-DCPfail flow chart for more detail.
DID
BOTH INPUTS
DFC AND LRX
CHANGE
STATE?
DC
COMMAND
WAIT 25 SECS.
OS OUTPUT ON.
DROP DC RELAY,
YES
NO
WAIT 25 SECS
OS OUTPUT ON
DROP DC RELAY,
DID
DFO INPUT
CHANGE
STATE?
YES
DOOR CLOSE
SEQUENCE
COMPLETE.
LCD = DCPfail
LCD = DCPfail
Nb: On earlier software versions, the
DCPfail delay time is set to 15 secs.
DCP n/a when DLM = 02
NO NO
NO
DID
DFC INPUT
CHANGE
STATE?
DID
LRX INPUT
CHANGE
STATE?
YES
YES
LCD = LCKbad
WAIT 25 SECS.
OS OUTPUT ON.
DROP DC RELAY,
LCD = DCPfail
WAIT 15 SECS,
DO RELAY PULLS IN
WAIT 15 SECS,
DO RELAY PULLS IN
WAIT 15 SECS,
LCD = DCP
BACK TO
DC COMMAND
WAIT 5 SECS,
DO RELAY PULLS IN
BACK TO
DOOR FULL OPEN
BACK TO
DC COMMAND
BACK TO
DOOR FULL OPEN
BACK TO
DC COMMAND
BACK TO
DOOR FULL OPEN
BACK TO
DC COMMAND

Table of Contents

Related product manuals