EasyManua.ls Logo

Ecoflam Blu 700 PR/MD - ELECTRICAL CONNECTIONS; CONNECTION TO THE GAS PIPELINE; START UP OF THE BURNER; IMPORTANT ADVICE

Ecoflam Blu 700 PR/MD
Print Icon
To Next Page IconTo Next Page
To Next Page IconTo Next Page
To Previous Page IconTo Previous Page
To Previous Page IconTo Previous Page
Loading...
pag.16
B LB 381 BLU 500 -1400 PR / MD
ELECTRICAL CONNECTIONS
All burners factory tested at 400 V 50 Hz three-phase for motors and 230 V 50 Hz monophase with neutral for auxi-
liary equipment. If mains supply is 230 V 50 Hz threephase withuot neutral, change position of connectors on burner
as in fig. Protect burner supply line with safety fuses and any other devices required by safety standards obtaining in the
country in question.
CONNECTION TO THE GAS PIPELINE
Once connected the burner to the gas pipeline, it is necessary to control that this last is perfectly sealed. Also verify that
the chimney is not obstructed. Open the gas cock and carefully bleed the piping through the pressure gauge connector,
then check the pressure value trough a suitable gauge. Power on the system and adjust the thermostats to the desired
temperature. When thermostats close, the sealing control device runs a seal test of valves; at the end of the test the bur-
ner will be enabled to run the start-up sequence.
START UP OF THE BURNER
Before lighting the burner, make sure that it has been installed correctly. Check the electric wiring against the diagrams
and the piping in the plant. Before making the electrical connection, make sure that the voltage coincides with the data
specified on the nameplate indicating the technical features. The diagram of the electrical connection and the starting
cycle are illustrated separately. To connect the equipment to the burner, refer to the diagram. Pay particular attention to
the connection of the neutral and phase: never switch them around. Check the earthing connection for the plant. For
the three-phase motors, check the motor's sense of rotation (see arrow). Bleed off any air and contaminants in the gas
pipe. Mak sure that the gas pressure is within the range specified on the nameplate. This must be done with a pressure
gauge in the pipe tap on the burner. Start the motor and begin preventilation. The motor reducer brings the air damper
into the fully open position within about 30 seconds. When the motor NdT: air damper is fully open, a signal to the
electronic control equipment triggers a preventilation cyce that lasts about 66 seconds At the end of the preventilation
phase, the motor reducer adjusts the damper to suit a low flame, enabling the the burner to be ignited on minimum
capacity. At the same time, the ignition transformer is powered and, three seconds later (pre-heating), the gas valves are
powered. At this point, the butterfly valve adjusts the gas flow in the combustion head. Two seconds after the valves
have opened, the transformer is cut off from the circuit. If the burner has not been ignited, it cuts out within 2 seconds.
The burner is ignited on minimum capacity (about 30% of the maximum capacity). The modulator will open the ser-
vomotor on maximum capacity or will hold it on the intermediate capacity required by the plant. The opening of the
servomotor will open the gas and air flows proportionally so as to always ensure optimal combustion at all capacity
levels (30%-100%). At the end of the operation, the servomotor stops in the closed position.
IMPORTANT ADVICE
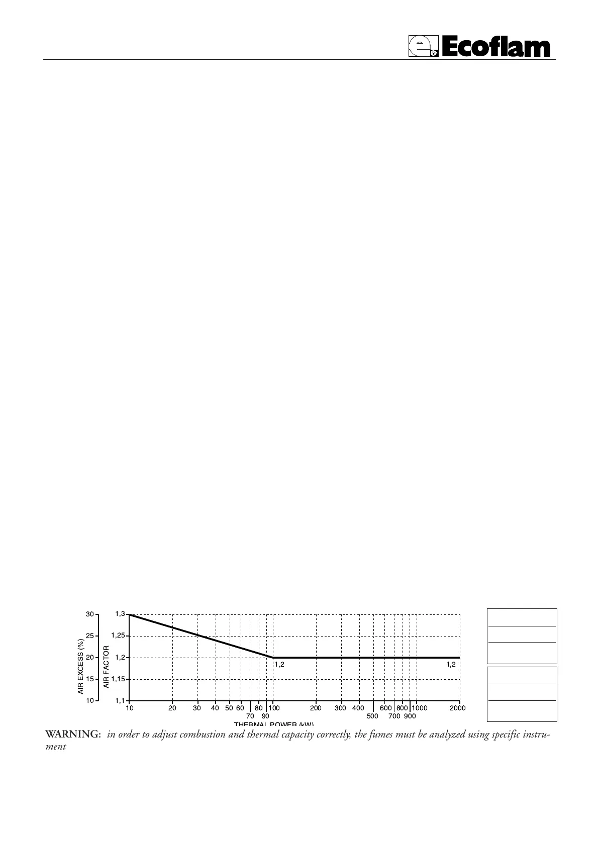
All adjustable parts must be fixed by the installer after making adjustments. Check flue combustion after each adjust-
ment. The CO
2
values must be approx. 9.7 (G20) 9.6 (G25 11.7 (l3B) 11.7 (l3P) and the CO must be less than 75
ppm.
()
AIR EXCESS (%)
AIR FACTOR
10
10 20 30 40 50 60
70
80
90
100
200 300 400
500
600
700
800
900
1000 2000
1,1
1,15
1,2
1,2
1,2
1,25
1,3
15
20
25
30
THERMAL POWER (kW)
WARNING: in order to adjust combustion and thermal capacity correctly, the fumes must be analyzed using specific instru-
ments. Combustion and thermal capacity must be adjusted simultaneously, making sure that the values read are correct and
in any case, that they comply with the safety regulations in force.
THIS OPERATION MUST BE PERFORMED BY PERSONNEL WHO ARE PROFESSIONALLY QUALIFIED
AND AUTHORIZED BY ECOFLAM SPA.
ADJUSTING THE COMBUSTION
L.P.G.
CO
2
11,7 %
CO < 50 ppm
Nat. gas
CO
2
9,6 %
CO < 50 ppm

Related product manuals