EasyManua.ls Logo

Ecoflam Blu 700 PR/MD - Conexión Eléctrica; Conexión a la Red; Puesta en Marcha del Quemador; Regulación de la Combustión

Ecoflam Blu 700 PR/MD
Print Icon
To Next Page IconTo Next Page
To Next Page IconTo Next Page
To Previous Page IconTo Previous Page
To Previous Page IconTo Previous Page
Loading...
pag.42
D LB 381 BLU 500 -1400 PR / MD
CONEXIÓN ELÉCTRICA
Todos los quemadores están ensayados a 400V/50Hz trifásico para los motores, y 230V/50Hz monofásico con neutro
para los auxiliares. Si fuese necesario alimentar el quemador con 230V trifásico sin neutro, provéase a las modificaciones
necesarias con referencia al esquema especifico del quemador y averiguar que el relé térmico esté dentro del campo de
absorción del motor. Averiguar también el sentido de rotación del motor del ventilador.
CONEXIÓN A LA RED
Después de haber conectado el quemador a la tubería del gas, es necesario averiguar si esta última está perfectamente
estanca. Averiguar también que la chimenea no esté obstruida. Abrir la válvula de corte, purgar cuidadosamente la
tubería al través de la toma de presión y luego controlar el valor de la presión con un manometro apropiado.
Suministrar tensión a la instalación y regular los termostatos a la temperatura que se desea. Cuando cierran los termo-
statos, el equipo de control de estancación efectúa un ensayo de estancación de las válvulas; al término de la prueba el
quemador recibe el consentimiento para efectuar el ciclo de puesta en marcha.
PUESTA EN MARCHA DEL QUEMADOR
Antes de poner en marcha el quemador, averiguar que el mismo sea instalado correctamente. Controlar también las
conexiones eléctricas con referencia a los esquemas y a la tubería de la instalación. Antes de efectuar la conexión eléctri-
ca, comprobar que el voltaje corresponda a los datos indicados por la tarjeta de las características. El esquema de
conexión eléctrica y el ciclo de arranque son ilustrados a parte. Para conectar el equipo de control al quemador véase el
esquema relativo. Prestar particular atención a la conexión del neutro y de la fase, que no se deben nunca invertir.
Averiguar también la conexión de tierra de la instalación. Con los motores trifásicos controlar el sentido de rotación del
motor (véase la flecha). Purgar el aire y las impuridades de la tubería del gas. Comprobar que la presión del gas sea den-
tro de los limites indicados por la tarjeta. Este control tiene que ser efectuado con un manometro de gas conectado a la
apropiada toma de presión del quemador. El motor arranque y empieza el prebarrido. El motorreductor abre el cierre
del aire a la abertura máxima en cerca de 30 segundos. Cuando el motorreductor está completamente abierto, un señal
al equipo de control empieza un ciclo de prebarrido de 66 segundos aproximadamente. Al término del prebarrido, el
motorreductor lleva el cierre del aire en posición de baja llama, permitiendo el encendido del quemador al caudal míni-
mo. Al mismo tiempo, el transformador de encendido viene alimentado y después de 3 segundos (pre-encendido) son
alimentadas las válvulas del gas. En este punto, la válvula de mariposa regla el caudal del gas en la cabeza de combu-
stión. Dos segundos después de la abertura de las válvulas, el transformador viene excluido del circuito. - En caso de
falta de encendido, el quemador se pone en seguridad dentro de 2 segundos. - El quemador está en marcha a la potencia
mínima (cerca del 30% de la potencia máxima). El equipo modulante mandara la abertura del servomotor a la potencia
máxima, o bien lo bloqueará a la potencia intermedia necesitada por la instalación. La abertura del servomotor provo-
cará la abertura de gas y aire de manera proporcional, para haber una combustión siempre optimal por todos los cauda-
les (30%÷100%).
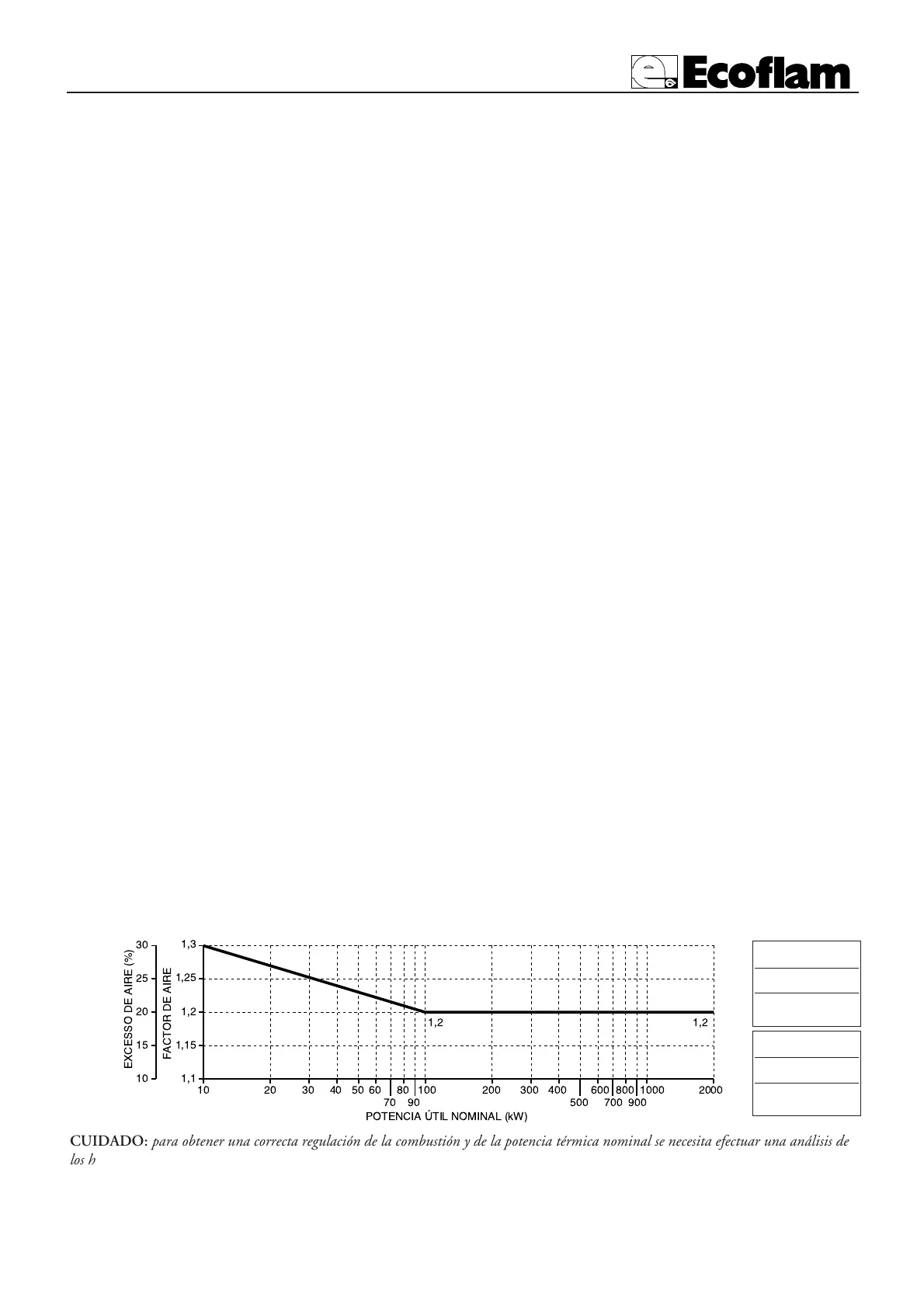
ADVERTENCIAS IMPORTANTES - Todos los equipos regulables tienen que ser fijados por el instalador después
de cada regulación. Por cada regulación comprobar la combustión a la chimenea. Los valores de CO2 deben ser cerca
de 9,7 (G20) 9,6 (G25) 11,7 (13B) 11,7(13P) y el CO inferior a los 75ppm.
EXCESSO DE AIRE (%)
FACTOR DE AIRE
10
10 20 30 40 50 60
70
80
90
100
200 300 400
500
600
700
800
900
1000 2000
1,1
1,15
1,2
1,2
1,2
1,25
1,3
15
20
25
30
POTENCIA òTIL NOMINAL
(
kW
)
CUIDADO: para obtener una correcta regulación de la combustión y de la potencia térmica nominal se necesita efectuar una análisis de
los humos con una apropiada instrumentación. La regulación de la combustión y de la potencia debe ser efectuada contemporáneamente a
una análisis de los productos de la combustión, asegurándose que los valores averiguados sean correctos y, de toda manera, que correspon-
dan a las normas vigentes de seguridad. ESTA OPERACION TIENE QUE SER EFECTUADA POR TÉCNICOS PROFESIO-
NALMENTE CALIFICADOS Y AUTORIZADOS POR ECOFLAM S.P.A.
REGULACIÓN DE LA COMBUSTIÓN
G.P.L.
CO
2
11,7 %
CO < 50 ppm
Gaz Nat.
CO
2
9,6 %
CO < 50 ppm

Related product manuals