EasyManua.ls Logo

Ecoflam Blu 700 PR/MD - Connexion Electrique

Ecoflam Blu 700 PR/MD
Print Icon
To Next Page IconTo Next Page
To Next Page IconTo Next Page
To Previous Page IconTo Previous Page
To Previous Page IconTo Previous Page
Loading...
pag.29
LB 381 BLU 500 -1400 PR / MD C
CONNEXION ELECTRIQUE
Tous les brûleurs sont essayés à 400 V, 50 Hz triphasé, avec neutre pour les auxiliaires. Dans le cas où il fût nécessaire
alimenter les brûleurs à 230 V, 50 Hz triphasé sans neutre, effectuer les modifications nécessaires suivant le schéma elec-
trique du brûleur et contrôler que le relais thermique soit dans la plage d’absorption du moteur. Vérifier, en outre, le
sens de rotation du ventilateur.
CONNEXION AU RESEAU GAZ
Une fois que le brûleur est connecté à la tuyauterie gaz, il faudra s’assurer que cette dernière soit parfaitement étanche,
et que la cheminée ne soit pas obstruée. Une fois ouvert le robinet du gaz, purger très soigneusement la tuyauterie par la
prise de pression, et contrôler, ensuite, la valeur de la pression a l'aide d'un manometre. Brancher le système et régler les
thermostats à la température désirée. A la fermeture des thermostats, le dispositif de contrôle d’étancheité, effectuera un
essais des vannes. Au bout de l'essai, le brûleur obtiendra le consensus pour le démarrage.
DEMARRAGE DU BRULEUR
Avant de démarrer le brûleur, s`assurer qu`il soit installé correctement. Vérifier les connexions électriques suivant les
plans ainsi que la tuyauterie du système. Avant d`effectuer les connexions électriques~ veiller à ce que le voltage corre-
sponde aux données indiquées sur la plaquette des caractéristiques techniques. Le schéma de la connexion électrique,
ainsi que le cycle de démarrage~ sont illustrés séparément. Pour connecter l'appareillage au brûleur, suivre le schéma.
Veiller soigneusement à la connexion du neutre et la phase: jamais les inverser. Contrôler la connexion à terre du systè-
me. Avec les moteurs triphasés, vérifier le sense giratoire (voir la flèche). Purger l'air et les impuretés de la tuyauterie du
gaz, et vérifier que la préssion du gaz soit dans les limites indiquées sur la plaquette. Ce contrôle doit être effectué à l'ai-
de d'un manomètre à gaz connecté à la prise de pression correspondante du brûleur. On démarre le moteur et il com-
mence la preventilation. Le motoréducteur porte le volet de l'air à l`ouverture maximale dans 30 secondes. Lors que le
motoréducteur est complètement ouvert, un signal transmis au dispositif de contrôle démarre un cycle de pre-ventila-
tion de 60 secondes env. A la fin de cette dernière, le motoréducteur portera le volet en petite allure, ainsi permettant
l`allumage du brûleur à la portée minimale. En même tempst on a l`alimentation du transformateur d'allumage et,
après 3 secondes (pre-allumage) on aura l’alimentation des vannes du gaz. A ce point, la vanne à papillon règle la portée
du gaz dans la tête de combustion. Deux secondes après l'ouverture des vannes, le transformateur est exclus du circuit.
En cas de faute d`allumage, le brûleur va en blocage dans deux secondes. Le brûleur est allumé à la puissance minimale
(env. 30% de la puissance maximale). Le dispositif modulateur (si prévu) fera ouvrir le servomoteur à la puissance maxi-
male, ou bien il l'arrêtera à la puissance intermédiaire requise par le système. L`ouverture du servomoteur fera ouvrir
gaz et air en manière proportionnelle, de façon à avoir une combustion optimale à toutes les portées (30% - 100%). A
la fin du fonctionnement le servomoteur se porte en position de fermeture.
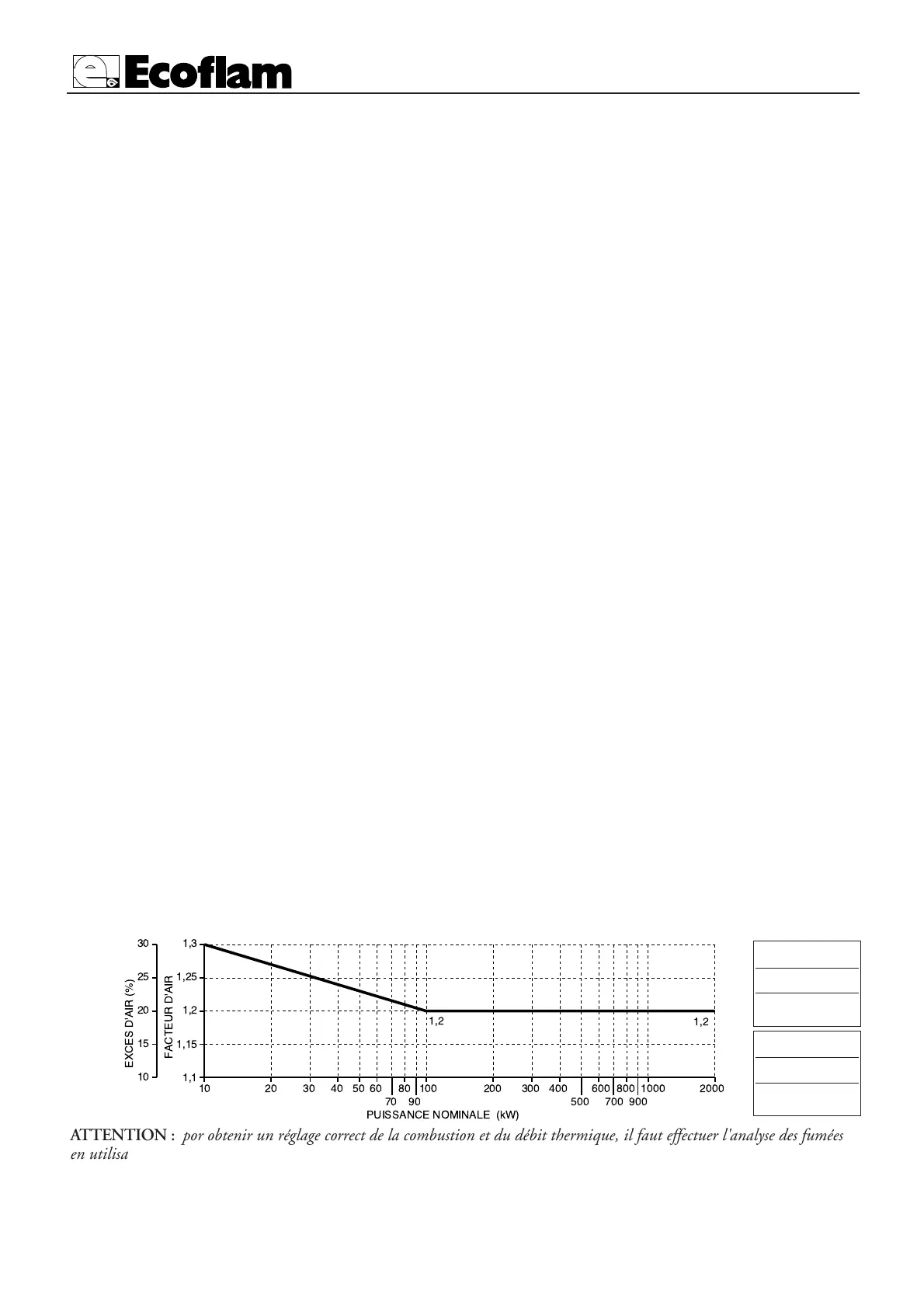
CONSEILS IMPORTANTS:
Tous les organes réglables doivent être fixés par l’installateur après les réglages. Contrôler la combustion dans la che-
minée à chaque réglage. Les valeurs de CO
2
doivent être d’environ 9,7 (G20) - 9,6 (G25) - 11,7 (l3B) - 11,7 (l3P) et le
CO doit être inférieur à 75 p.p.m.
EXCES D'AIR (%)
FACTEUR D'AIR
10
10 20 30 40 50 60
70
80
90
100
200 300 400
500
600
700
800
900
1000 2000
1,1
1,15
1,2
1,2
1,2
1,25
1,3
15
20
25
30
PUISSANCE NOMINALE (kW)
ATTENTION : por obtenir un réglage correct de la combustion et du débit thermique, il faut effectuer l'analyse des fumées
en utilisant les instruments appropriés. Le réglage de la combustion et du débit thermique doit être fait en même temps qu’une
analyse des produits de combustion, en veillant à ce que les valeurs relevées soient correctes, et qu’elles répondent toujours aux
normes de sécurité en vigueur.
CETTE OPÉRATION DOIT ETRE FAITE PAR DU LA PERSONNEL QUALIFIÉ ET AUTORISÉ PAR LA
SOCIÉTÉ ECOFLAM SPA .
REGLAGE DE LA COMBUSTION
G.P.L.
CO
2
11,7 %
CO < 50 ppm
Gaz Nat.
CO
2
9,6 %
CO < 50 ppm

Related product manuals