EasyManua.ls Logo

Fujitsu ASU12RLF1 - Model: ASU15 RLF1

Fujitsu ASU12RLF1
328 pages
Print Icon
To Next Page IconTo Next Page
To Next Page IconTo Next Page
To Previous Page IconTo Previous Page
To Previous Page IconTo Previous Page
Loading...
¢
Model: ASU15RLF1
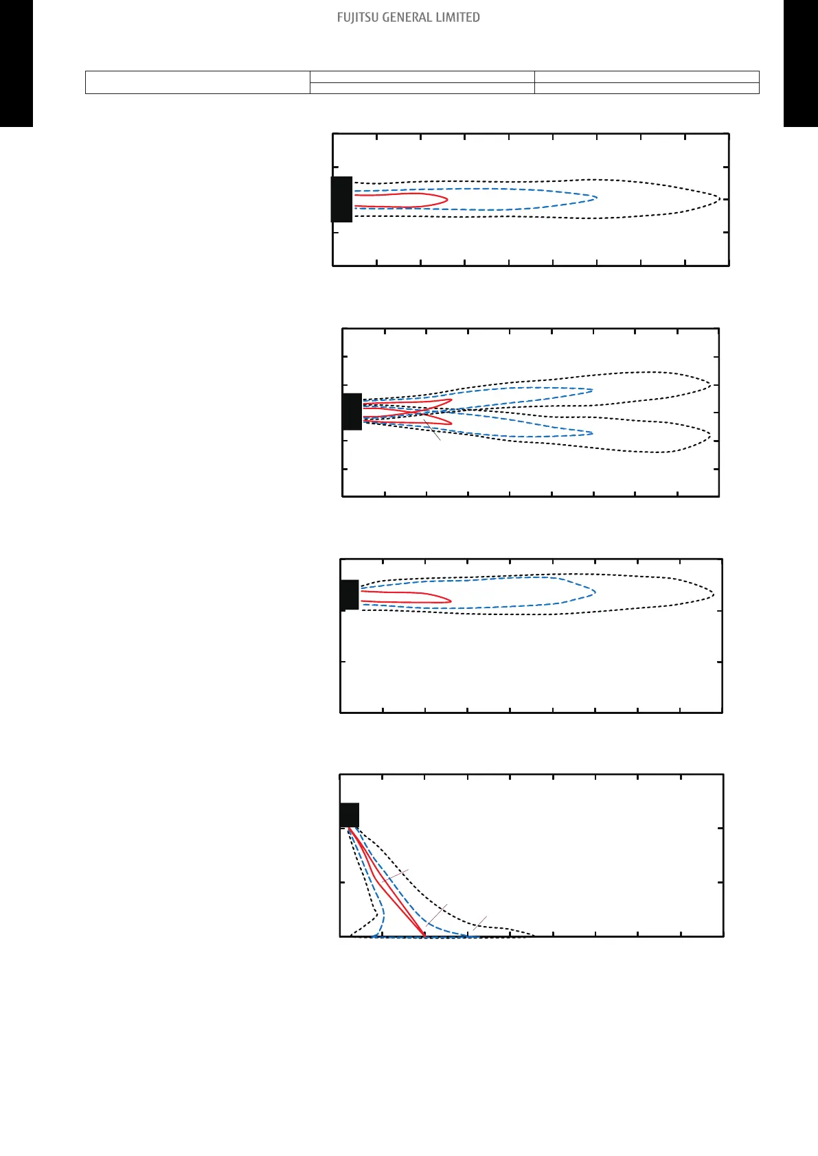
Measuring conditions
Fan speed Operation mode
HIGH FAN
Top view
Horizontal louver: Up
Vertical louver: Center
7 (2.0)
3 (1.0)
2 (0.5)
2
1
0
1
2
Unit: ft/s (m/s)
(m)
(m)
0 1 2 3 4 5 6
7 8
7
3
0
3
7
(ft)
(ft)
0 3 7 10 13 16 20
23
26
9
29
Top view
Horizontal louver: Up
Vertical louver: Left & Right
3 (1.0)
3 (1.0)
2 (0.5)
2 (0.5)
7 (2.0)
7 (2.0)
10
7
3
0
3
7
10
(ft)
(ft)
0 3
7 10 13 16 20 23
26
3
2
1
0
1
2
3
Unit: ft/s (m/s)(m)
(m)
0 1
2 3 4 5 6 7
8
9
29
Side view
Horizontal louver: Up
Vertical louver: Center
7 (2.0)
3 (1.0)
2 (0.5)
3
2
1
0
Unit: ft/s (m/s)
(m)
(m)
0 1 2 3 4 5 6 7 8
10
7
3
0
(ft)
(ft)
0 3 7 10 13 16 20 23 26
9
29
Side view
Horizontal louver: Down
Vertical louver: Center
7 (2.0)
3 (1.0)
2 (0.5)
3
2
1
0
Unit: ft/s (m/s)
(m)
(m)
0 1 2 3 4 5 6 7 8
10
7
3
0
(ft)
(ft)
0 3 7 10 13 16 20 23 26
9
29
- 50 -
5-3. Wall mounted type 5. Air velocity and temperature distributions
MULTI-SPLIT TYPE
5-unit type
MULTI-SPLIT TYPE
5-unit type

Table of Contents

Other manuals for Fujitsu ASU12RLF1

Related product manuals