EasyManua.ls Logo

INVT CHE100-0R4G-S2 - Environmental Requirements

INVT CHE100-0R4G-S2
124 pages
Print Icon
To Next Page IconTo Next Page
To Next Page IconTo Next Page
To Previous Page IconTo Previous Page
To Previous Page IconTo Previous Page
Loading...
Installation
10
3.1 Environmental Requirement
3.1.1 Temperature
Environment temperature range: -10°C ~ +40°C. Inverter will be derated if ambient
temperature exceeds 40°C.
3.1.2 Humidity
Less than 95% RH, without dewfall.
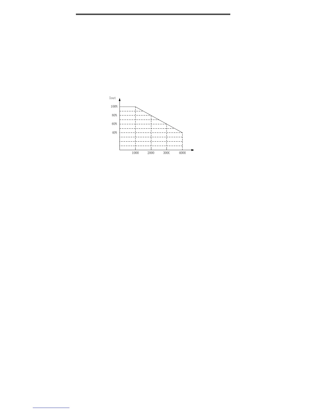
3.1.3 Altitude
Inverter can output the rated power when installed with altitude of lower than
1000m. It will be derated when the altitude is higher than 1000m. For details, please
refer to the following figure:
Figure 3.1 Relationship between output current and altitude.
3.1.4 Impact and Vibration
It is not allowed that the inverter falls down or suffers from fierce impact or the
inverter installed at the place that vibration frequently.
3.1.5 Electromagnetic Radiation
Keep away from the electromagnetic radiation source.
3.1.6 Water
Do not install the inverter at the wringing or dewfall place.
3.1.7 Air Pollution
Keep away from air pollution such as dusty, corrosive gas.
3.1.8 Storage
Do not store the inverter in the environment with direct sunlight, vapor, oil fog and
vibration.

Table of Contents

Related product manuals