EasyManua.ls Logo

Lenze 4800 - Page 182

Lenze 4800
342 pages
Print Icon
To Next Page IconTo Next Page
To Next Page IconTo Next Page
To Previous Page IconTo Previous Page
To Previous Page IconTo Previous Page
Loading...
Configuration
7-91
48XX/49XXSHB0399
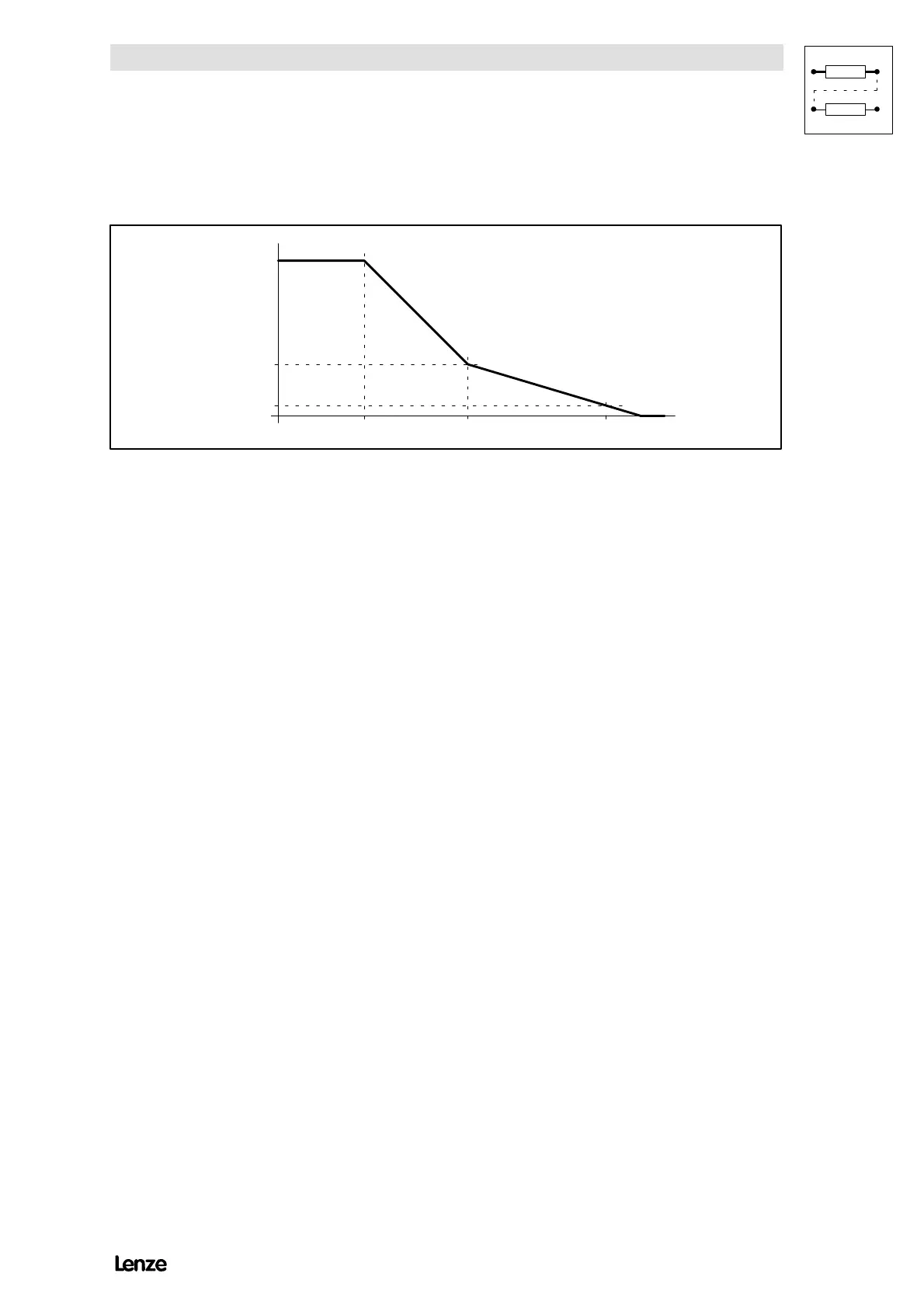
Therefore, the current limitation must be reduced depending on the
compensation of the DC machine and the actual speed.
I
max
100%
n
0
n
1
n
2
Limit value 1
Limit value 2
0
n
act
(C310)
(C311)
(C022, C023)
(C312) (C313) (C314)
4900Str079
FIG 7-52 Parameter assignment to the speed-dependent armature current limitation
The speed-dependent current limitation acts on the current set-value C063
(reference I
max
: C022, C023).
Linear characteristic
If the current limit is to be lowered linearly (depending on the machine used), the
speed at which the reduction is to begin is set under C313. The slope of the
characteristic is set under C311 and C314.
Non-linear characteristic
By means of a second section with linear slope, the non-linear characteristic can
be approximated with two vertex.
The speed at which the lowering of the current limit is to start can be set with the
parameter C312. The slope of the 1st section is set under codes C310 and C313.
The 2nd section is parameterised with codes C311 and C314.
Motor types
Usually, compensated machines require a current reduction as of approx. 1:3 field
weakening operation. Uncompensated machines require the reducation as of
1:1.2 field weakening operation. The current limitation is then to be lowered with
the function 1/n.
Show/Hide Bookmarks

Table of Contents

Related product manuals