EasyManua.ls Logo

Panasonic CS-E12RB4UW - Piping Length Correction Factor

Panasonic CS-E12RB4UW
109 pages
Print Icon
To Next Page IconTo Next Page
To Next Page IconTo Next Page
To Previous Page IconTo Previous Page
To Previous Page IconTo Previous Page
Loading...
97
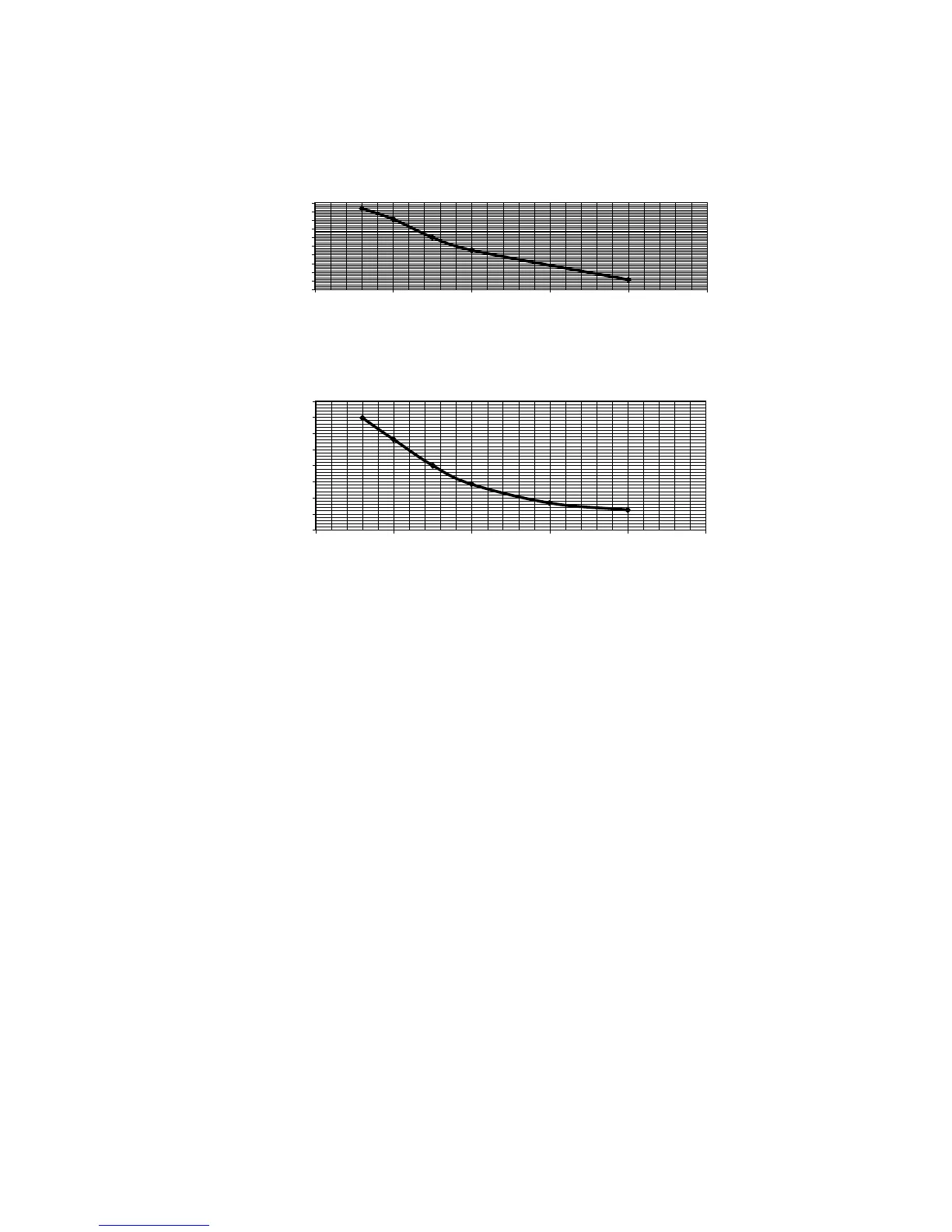
18.3 Piping Length Correction Factor
The characteristic of the unit has to be corrected in accordance with the piping length.
18.3.1 CS-E12RB4UW CU-E12RB4U
18.3.1.1 Cooling Capacity
18.3.1.2 Heating Capacity
Note: The graphs show the factor after added right amount of additional refrigerant.
Piping length m (ft)
Capacity correction facto
r
0.94
0.95
0.96
0.97
0.98
0.99
1.00
1.01
1.02
1.03
1.04
0
(0)
5
(16.4)
10
(32.8)
15
(49.2)
20
(65.6)
25
(82.0)
Capacity correction factor
Piping length m (ft)
0
(0)
5
(16.4)
10
(32.8)
15
(49.2)
20
(65.6)
25
(82.0)
0.92
0.94
0.96
0.98
1.00
1.02
1.04
1.06
1.08

Table of Contents

Other manuals for Panasonic CS-E12RB4UW

Related product manuals