EasyManua.ls Logo

Panasonic E3 - Page 10

Panasonic E3
329 pages
Print Icon
To Next Page IconTo Next Page
To Next Page IconTo Next Page
To Previous Page IconTo Previous Page
To Previous Page IconTo Previous Page
Loading...
9
1
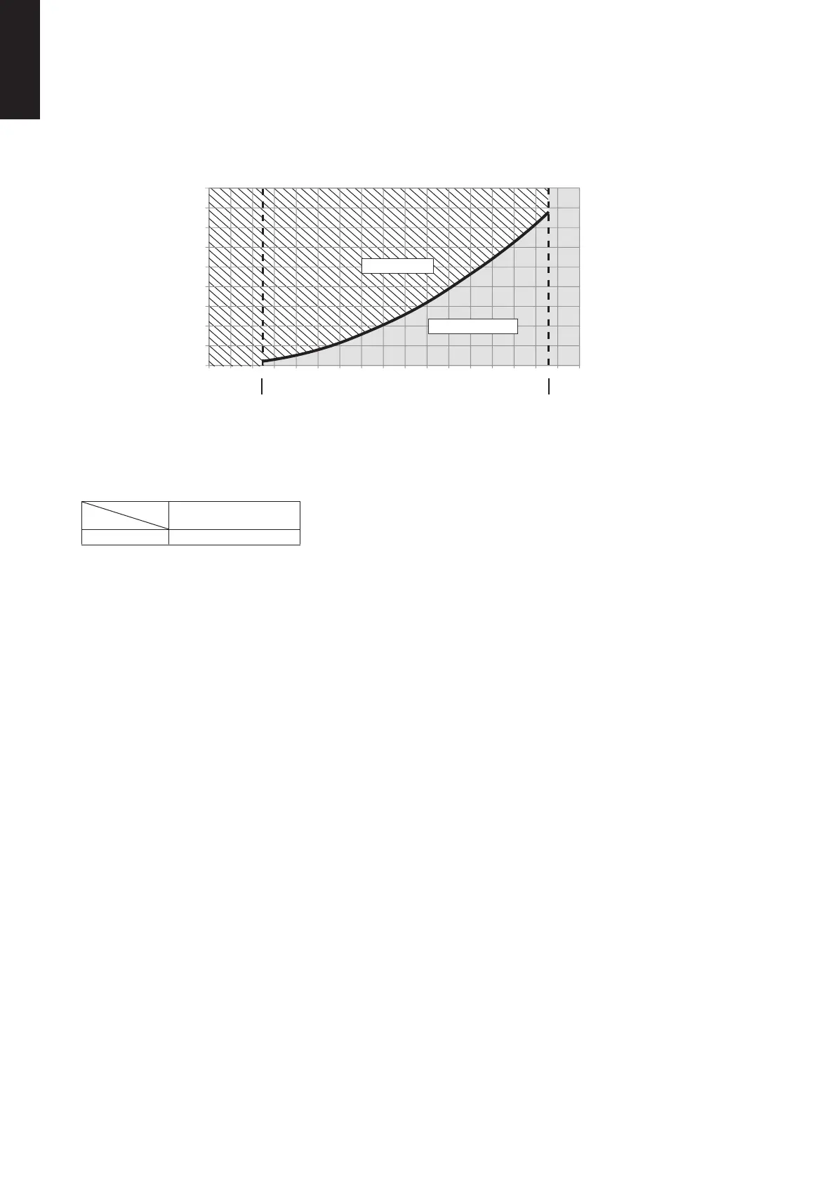
Check of Density Limit
U-200PZH2E8, U-250PZH2E8
The refrigerant (R32), which is used in the air conditioner, is a flammable refrigerant. So the requirements for installation space of
appliance are determined according to the refrigerant charge amount [m
c
] used in the appliance.
The minimum indoor floor space compared with the amount of refrigerant is roughly as follows:
0.0
5.0
10.0
15.0
20.0
25.0
30.0
35.0
40.0
45.0
0.0 0.5 1.0 1.5 2.0 2.5 3.0 3.5 4.0 4.5 5.0 5.5 6.0 6.5 7.0 7.5 8.0 8.5
[Amin] : minimum indoor floor space (m
2
)
[mc] : The refrigerant charge amount (Total of refrigerant at shipment and refrigerant charge amount in the field).
[m
max] : Maximum refrigerant charge amount
[m
c] ≤ 1.22 : Can be installed
1.22 < [m
c] ≤ [mmax] : Installation possible with in the range of slanted line part
[m
c] > [mmax] : Can not be installed
7.801.22
[m
c
] : the refrigerant charge amount (k
g
)
Can be installed
Can not be installed
• 7.80 indicates m
max
digit of the model U-200PZH2E8, U-250PZH2E8.
U-200PZH2E8
U-250PZH2E8
m
max
7.80 k
g
SM830281-00_欧州向け R32シングル TD&SM.indb 9 2020/01/09 14:04:50

Table of Contents

Related product manuals