EasyManua.ls Logo

ProLights EVO64CYC - Calibrazione

ProLights EVO64CYC
Print Icon
To Next Page IconTo Next Page
To Next Page IconTo Next Page
To Previous Page IconTo Previous Page
To Previous Page IconTo Previous Page
Loading...
EVO64CYC
20
CURV
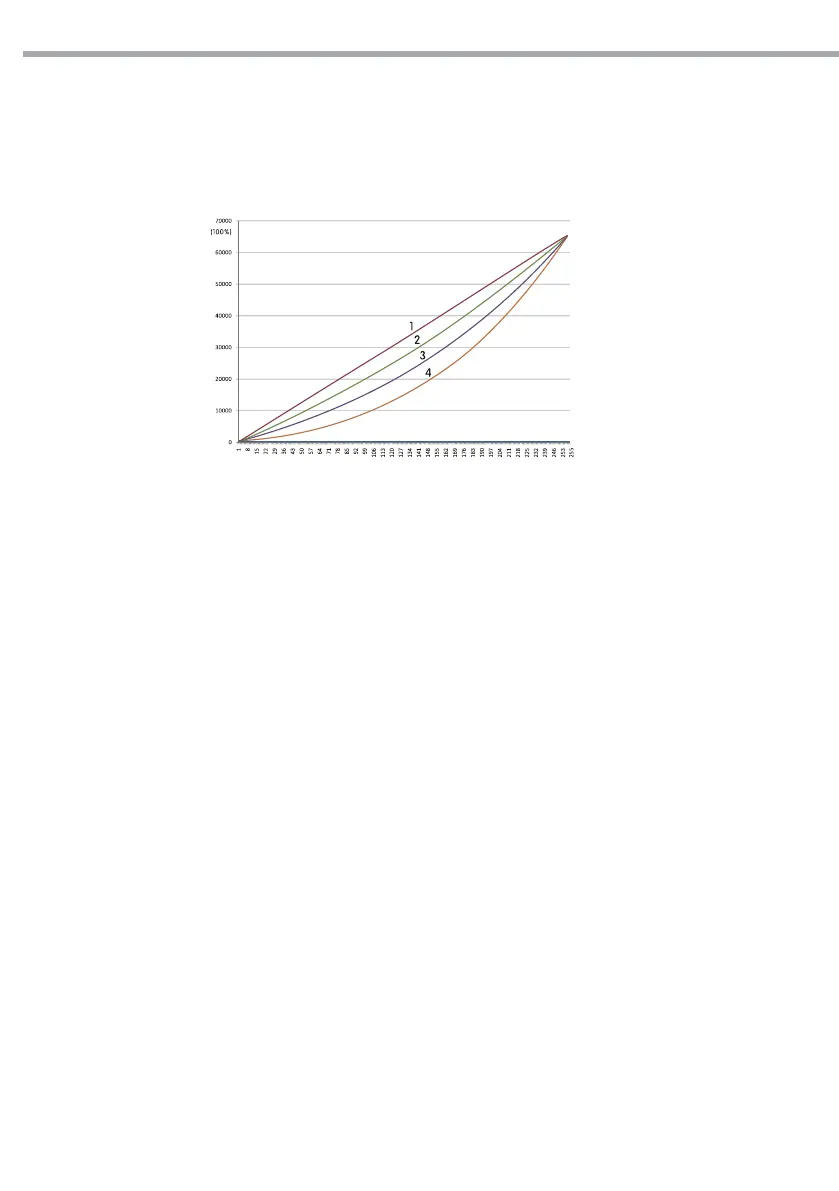
Selezionare la funzione [CURV], per regolare la forma della curva dimmer. Far riferimento al graco
riportato di seguito (g.9) per la caratteristica di ciascuna curva.
CURV dimming
1: OFF
2: CV1
3: CV3
4: CV4
Fig.9
DERR
Selezionare la funzione [DERR], per la gestione in caso di errore del segnale DMX.
- [SAVE] consente di salvare gli ultimi dati DMX in caso di errore del segnale DMX.
- [BLACK] consente di attivare la modalità blackout in caso di errore DMX.
SLCK
• Selezionando la funzione [SLCK] è possibile attivare o disattivare la password di accesso al menu di
impostazioni.
• Selezionare [ON] o [OFF] a seconda che si voglia, rispettivamente, abilitare o disabilitare la password.
Quando l’unità è impostata su ON, bisognerà immettere la password per accedere al menu impo-
stazioni.
STRB
• Il proiettore EVO64CYC dispone di due dierenti impostazioni della strobo: CLAS strobo e SPEC
strobo. Tali impostazioni sono valide sono nelle seguenti congurazioni DMX: Tour, AR2.S e TR16.
3.16 CALIBRAZIONE
• Premere il tasto MENU e selezionare attraverso i tasti direzionali la voce [CAL]; inserire la password di
accesso corrispondente alla combinazione dei tasti UP + DOWN + UP + DOWN. Premere ENTER per
confermare.
IMPOSTAZIONI BIANCO
Per impostare il bilanciamento personalizzato della temperatura colore bianco:
• Premere il tasto MENU, quindi premere il tasto UP/DOWN no a quando sul display non appare
[CAL1], poi premere il tasto ENTER.
• Selezionare uno delle 11 impostazioni colore bianco pre-programmate (WHITE01 - WHITE11).

Table of Contents

Related product manuals