EasyManua.ls Logo

ProLights EVO64CYC - Calibration Functions

ProLights EVO64CYC
Print Icon
To Next Page IconTo Next Page
To Next Page IconTo Next Page
To Previous Page IconTo Previous Page
To Previous Page IconTo Previous Page
Loading...
EVO64CYC
18
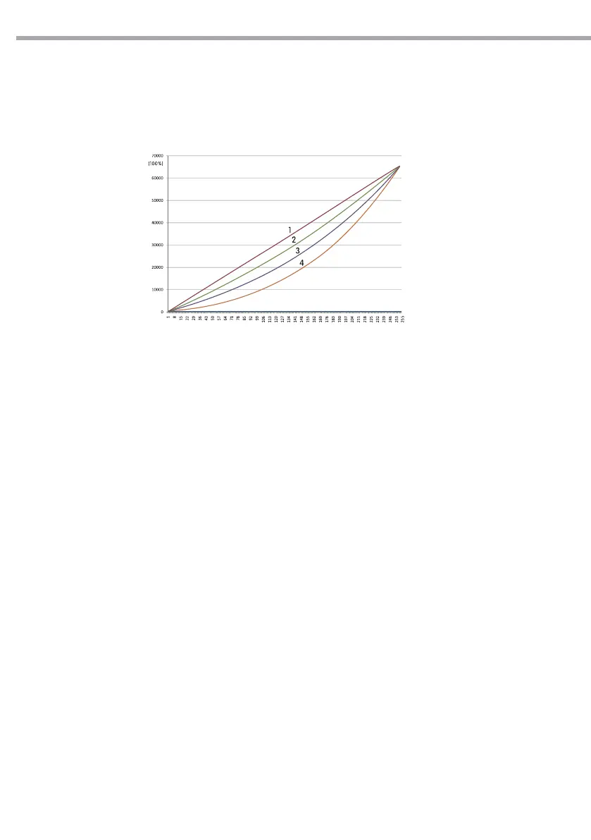
CURV dimming
1: OFF
2: CV1
3: CV3
4: CV4
Fig.9
CURV
[CURV] allows the user to adjust the shape of the dimming curve. See the CURV chart to understand
more about actual dimming curves.
DERR
Enter to [DERR] to control in case of DMX signal errors.
- [SAVE] saves the latest data DMX on error DMX signal.
- [BLACK] allows you to activate the mode on error DMX blackout.
SLCK
[SLCK] is used to lock the settings menu. When [SLCK] is set to ON the user must insert passcode (UP +
DOWN + UP + DOWN) in order to access the settings menu.
STRB
This xture allows for two dierent strobe personality settings, [CLAS] strobe or [SPEC] strobe. The [STRB]
settings are only valid in the DMX personalities TOUR, AR2.S and TR16.
3.16 CALIBRATION FUNCTION
Press the button MENU to enter the password conrmation, to enter the correct password
UP+DOWN+UP+DOWN button, press the MENU in the correct password will enter show submenu.
WHITE SETTING
Enter the [CAL] mode to select white color of dierent color temperature;
• Press the button MENU then press the button UP/DOWN so many times until show [CAL1]. Press the
button ENTER to conrm.
• There are 11 pre-programmed white colors (WHITE01 - WHITE11) can be edited by using red, green, and
blue (Red - Green - Blue - White - Ambe).
• Set the value (000 - 255), through the buttons UP and DOWN.

Table of Contents

Related product manuals