EasyManua.ls Logo

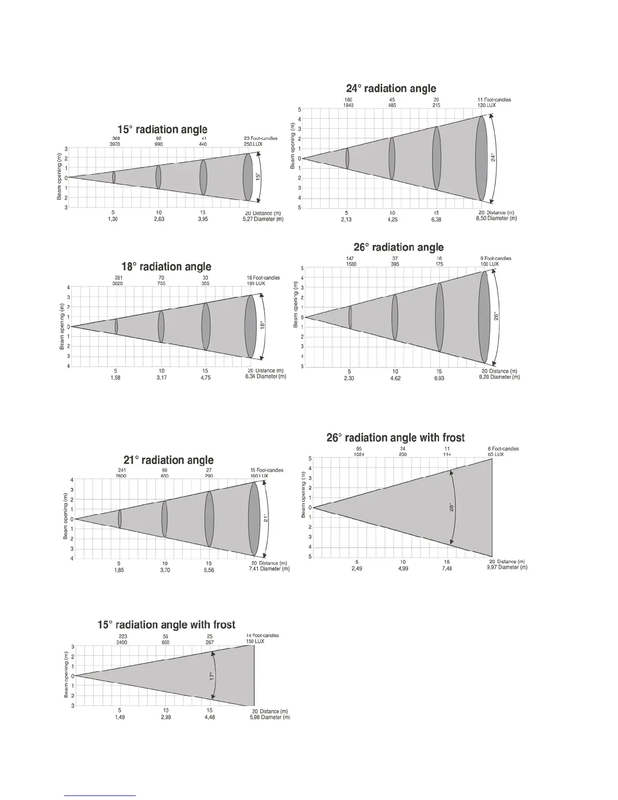
SHOWTEC Explorer 250 Pro - Beam Angle Specifications; Beam Angle

SHOWTEC Explorer 250 Pro
26 pages
Print Icon
To Next Page IconTo Next Page
To Next Page IconTo Next Page
To Previous Page IconTo Previous Page
To Previous Page IconTo Previous Page
Loading...
10
Beam Angle

Related product manuals