EasyManua.ls Logo

Siemens LMV50 series

Siemens LMV50 series
327 pages
To Next Page IconTo Next Page
To Next Page IconTo Next Page
To Previous Page IconTo Previous Page
To Previous Page IconTo Previous Page
Loading...
157/327
Building Technologies Basic Documentation LMV5... CC1P7550en
8 Display and operating unit AZL5 22.05.2018
4. Setting the ignition positions
The system continues the startup sequence and stops in phase 36 IgnitPos. Now, the
ignition positions can be set on menu SpecialPositions.
Then, set ProgramStop to 72 PostPPos, if operation shall immediately follow.
To readjust the ignition positions after the burner has ignited: Set ProgramStop to 44
Interv 1 or 52 Interv 2 for pilot ignition after the pilot flame has been shut down. Then,
set ProgramStop to 72 PostPPos.
5. Curve settings via manual control
The system continues the startup sequence and assumes normal operation. The first
curvepoint entered are the ignition positions and the load entered is the number of
degrees (angular rotation) of the fuel actuator.
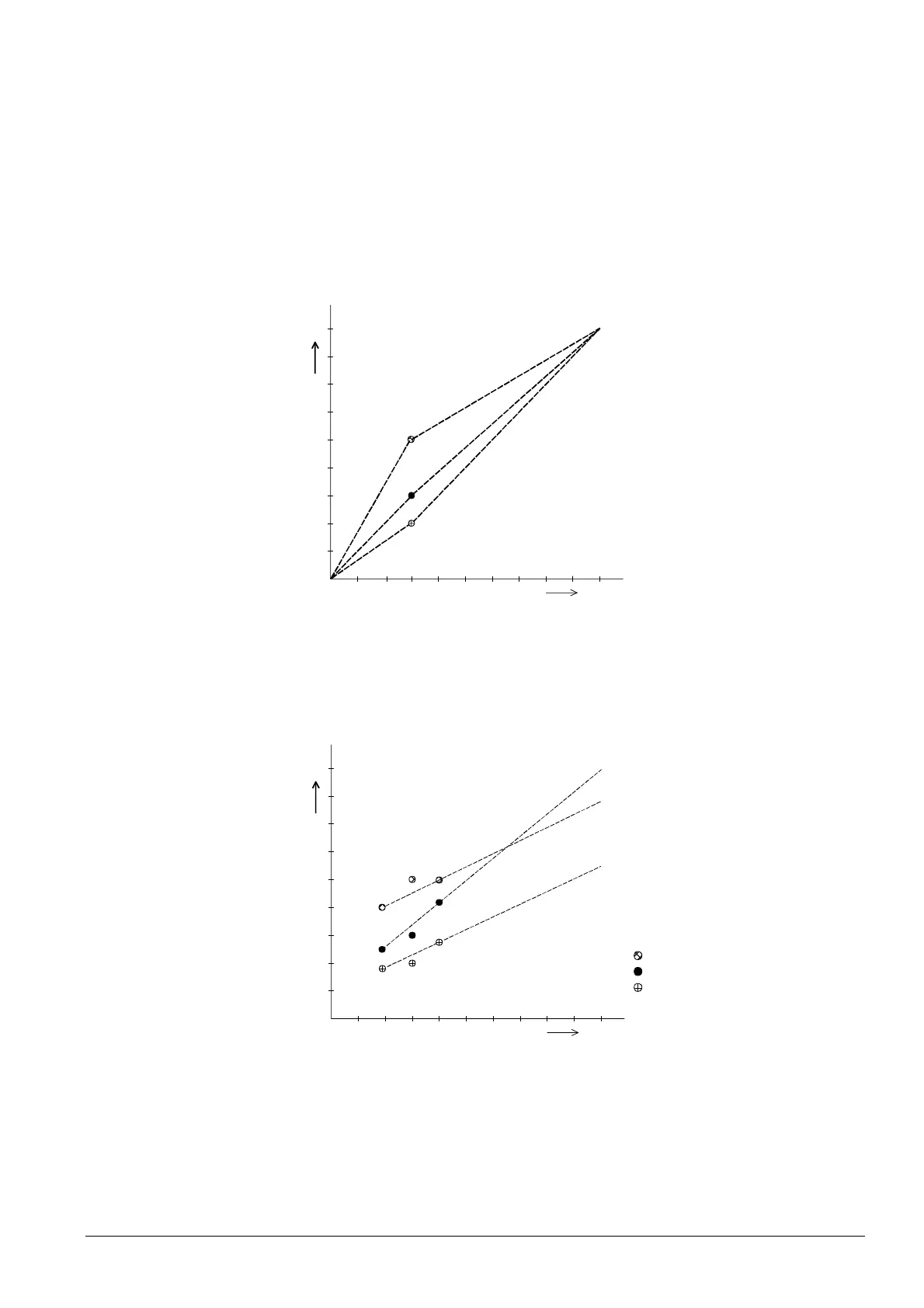
100 %
90°
7550d07e/0704
Pos.
Load
0 %
AUX
FUEL
AIR
Ignition = low fire
Figure 78: Adjustment of the actuator positions via the load with automatically entered point
Select Man from menu Params & Display RatioControl Settings Gas or Oil
Curve Param. It is now possible to follow the above curves by changing the load. A point
can be saved at every intermediate point. Than the figure of the adjustment of the
actuator positions via the load will change as follows:
100 %
90°
7550d08e/0704
Pos.
Load
0 %
Low fire
AIR
AUX
FUEL
Ignition
2nd curve point
Figure 79: Adjustment of the actuator positions via the load with 2 points

Table of Contents

Other manuals for Siemens LMV50 series

Related product manuals