EasyManua.ls Logo

Sony DXC-637 - Connection Connector Details

Sony DXC-637
63 pages
Print Icon
To Next Page IconTo Next Page
To Next Page IconTo Next Page
To Previous Page IconTo Previous Page
To Previous Page IconTo Previous Page
Loading...
IAAMTTAAAAI
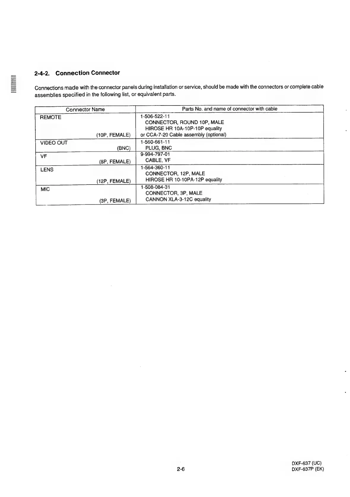
2-4-2.
Connection
Connector
Connections
made
with
the
connector
panels
during
installation
or
service,
should
be
made
with
the
connectors
or
complete
cable
assemblies
specified
in
the
following
list,
or
equivalent
parts.
1-506-522-11
CONNECTOR,
ROUND
10P,
MALE
HIROSE
HR
10A-10P-10P
equality
(10P,
FEMALE)
or
CCA-7-20
Cable
assembly
(optional)
(BNC)
PLUG,
BNC
VE
9-994-797-01
(8P,
FEMALE)
CABLE,
VF
LENS
1-564-360-11
CONNECTOR,
12P,
MALE
HIROSE
HR
10-10PA-12P
equality
1-508-084-31
CONNECTOR,
3P,
MALE
CANNON
XLA-3-12C
equality
Connector
Name
REMOTE
(12P,
FEMALE)
(3P,
FEMALE)
DXF-637
(UC)
2-6
DXF-637P
(EK)