EasyManua.ls Logo

Sony VPL-ES4 - Failure of Turn on Lamp

Sony VPL-ES4
34 pages
Print Icon
To Next Page IconTo Next Page
To Next Page IconTo Next Page
To Previous Page IconTo Previous Page
To Previous Page IconTo Previous Page
Loading...
3-4
VPL-ES4/EX4
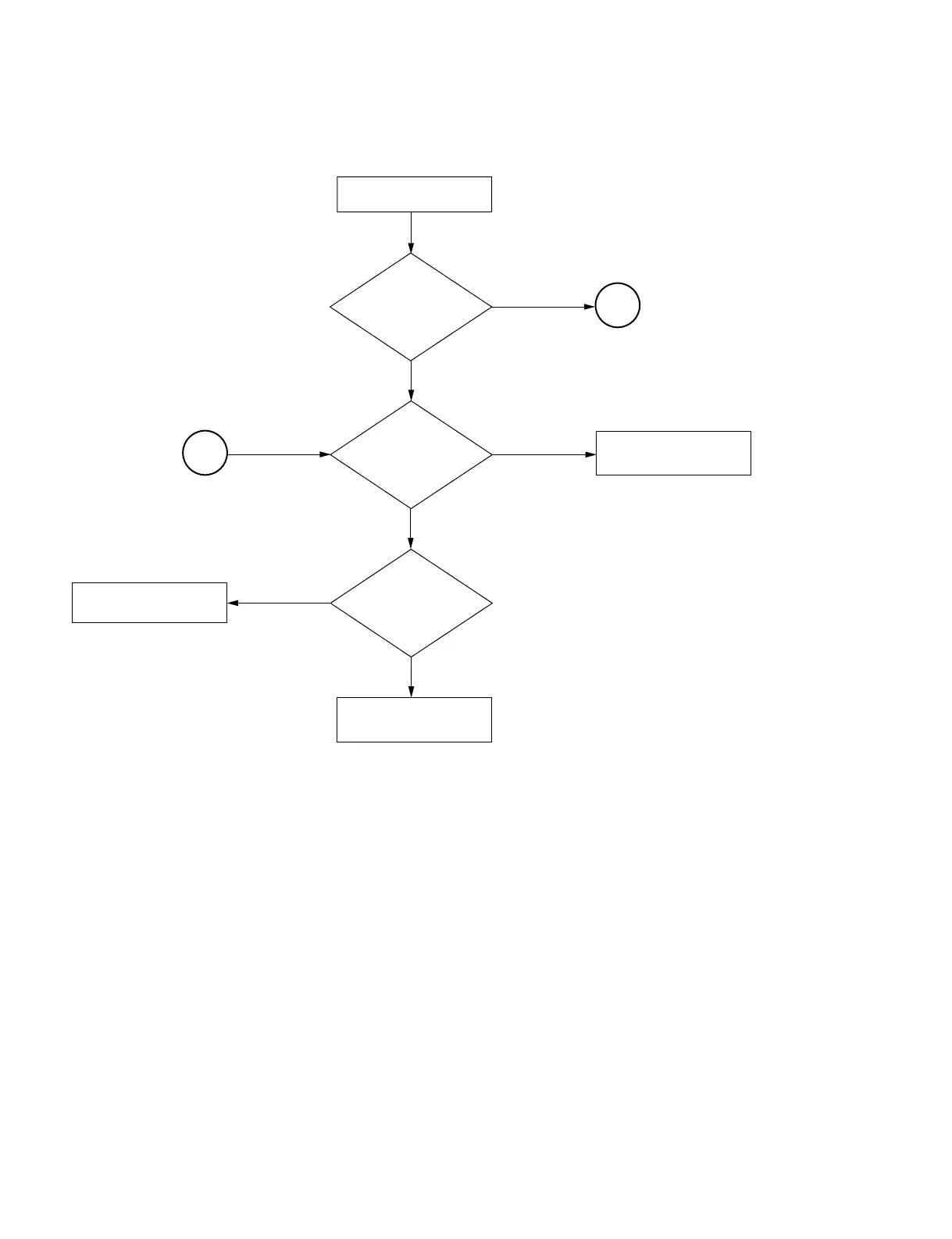
3-2-2. Failure of Turn on Lamp
Failure of turn on ballast.
No
Yes
Check if the input
voltage of ballast is
380V DC
B
A
Lamp
Broken ?
Yes
No
Control
Pin (SCI) is
normal ?
Yes
Replace ballast with new
one.
Check main board.
Replace lamp with new
one.
No

Related product manuals