EasyManua.ls Logo

SuperMax 37x2 - Wrapping Abrasive Strips

Default Icon
48 pages
Print Icon
To Next Page IconTo Next Page
To Next Page IconTo Next Page
To Previous Page IconTo Previous Page
To Previous Page IconTo Previous Page
Loading...
10 SUPERMAX OWNER’S MANUAL
WRAPPING ABRASIVE STRIPS
Note: When using Pre-Marked™ OR Pre-Cut™
abrasives, not all of the steps below are neces-
sary.
Proper attachment of the abrasive strip to the
drum is critical to achieving top performance from
your SuperMax Tools drum sander. Abrasive strips
do not have to be pre-measured. The end of the
roll is first tapered and attached to the left (out-
board) side of the drum. Then the strip is wrapped
around the drum, and the second taper is made for
attachment to the right (inboard) side of the
drum. To attach a strip to the drum, follow the
procedure below.
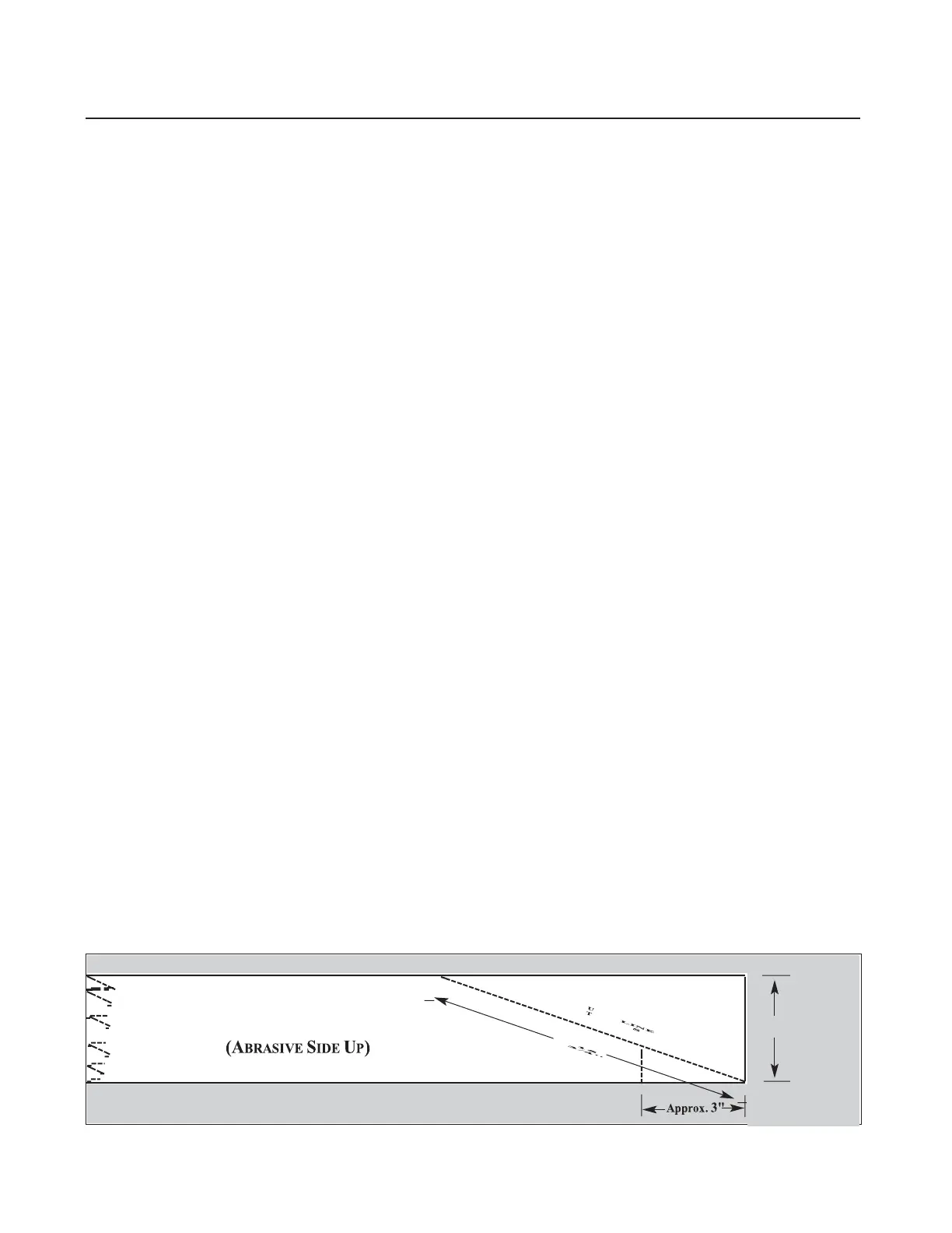
1. Mark and cut a taper at one end of the roll as
shown in Fig. 12a. Because the tapered end should
use most of the left (outboard) slot width, its end
must be trimmed (Fig. 12-b and 12-c). Raise the
clip lever on the left (outboard) side of the drum
(Fig. 12-d). Insert the tapered end through the slot
and into the fastener so that it uses most of the
width of the slot. Release the clip lever to securely
hold the strip end in the fastener.
2. Wrap the strip around the drum, being careful
not to overlap the windings. The tapered cut of
the strip end should follow the edge of the drum.
Continue to wrap the abrasive in a spiral fashion
by rotating the drum with your left hand and
guiding the strip with your right hand (Fig 12-e).
Successive windings of the strip should be flush
with previous windings without any overlap.
3. Mark the trailing end of the strip where it
crosses the right (inboard) end of the drum (Fig.
12-f). From this point, cut a taper as was done
with the starting edge of the strip. (The taper on
the remaining roll can be used as the taper for the
starting edge of the next strip to be cut.)
4. With the trailing edge of the strip properly cut,
rewrap the drum and insert the tapered end
through the slot in the right (inboard) end of the
drum. Insert the tapered end into the inboard take-
up fastener. Pull up on the clip lever to open the
clip, and pull the take-up lever to the top as shown
(Fig. 12-g). After inserting the strip end, release the
clip lever by moving your index finger toward the
drum slot. This allows the clip to retain the abrasive
while holding the take-up lever in an “up” position.
5.
The take-up fastener is designed to automati-
cally take up any slack caused by stretching of the
abrasive strip.
Important: Position the abrasive
strip in the slot with sufficient room between the
inside of the slot and the tapered end of the strip
to allow it to be pulled into the drum as needed
(Fig. 12-h). Note that not leaving enough space
between the strip and the inside of the slot will
prevent the take-up fastener from operating
properly.
6. The abrasive strip may stretch enough in use
to allow the take-up lever to reach its lowest posi-
tion so it no longer is able to maintain tension on
the strip (Fig. 12-i). If this occurs, it will be neces-
sary to reset the take-up lever by raising it, pushing
the strip end into the slot, and then releasing the
clip lever.
Note: A sandpaper cleaning stick may be used to
remove deposits and help extend sandpaper life. To
use, operate the sanding drum with the dust cover
open. (Caution: For your own safety, always wear
eye protection while performing sandpaper clean-
ing, and take all precautions to avoid any contact of
hands or clothing with uncovered drums.) Hold the
cleaning stick against the rotating drum and move it
along the drum surface. It is good procedure to use
a shop brush to remove any cleaning stick crumbs
from the drums before resuming sanding opera-
Fig. 12-a. Marking and cutting taper on strip.
SANDPAPER STRIP
Also see Fig. 12-b and Fig. 12-c.
3"
C

Related product manuals