EasyManua.ls Logo

Turbosol UNI 30 E - Checks before Start-Up

Turbosol UNI 30 E
51 pages
Print Icon
To Next Page IconTo Next Page
To Next Page IconTo Next Page
To Previous Page IconTo Previous Page
To Previous Page IconTo Previous Page
Loading...
EN
UNI 30 E 17261 - 561.228 7 - USE AND OPERATION
7
- Pag. 2/14
THIS MANUAL IS PROPERTY OF - ANY TOTAL OR PARTIAL REPRODUCTION IS STRICTLY FORBIDDEN
Cap.
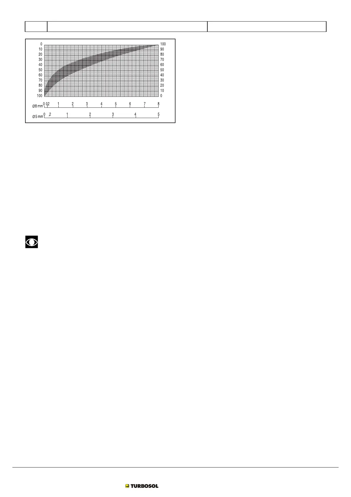
FIG.21
- There must be a correct amount of binder (about 300 - -400 kg per cubed metre) and in the proportions indicated below:
2/3 hydraulic lime - 1/3 slack lime;
1/3 hydraulic lime - 2/3 slack lime;
1/3 cement - 2/3 slack lime;
2/3 cement - 1/3 slack lime;
- Do not use plasticizer lime and however as a percentage not higher than a third of the binder: otherwise the machine
performance decreases notably.
- The mixture must have a plastic consistency (not too dry and not too wet).
7.3 CHECKS BEFORE START-UP
Oil levels must only be checked when the machine is off.
Perform the following checks:
• Compressor oil level:
the level of lubricant must be on the MAX notch on the stick (FIG.22-REF 1).
If necessary, top-up with SHELL RIMULA EXTRA D 15W40 or equivalent.
The level must never exceed the maximum notch.

Related product manuals