EasyManua.ls Logo

ubbink UWA-2E - Page 8

ubbink UWA-2E
61 pages
Print Icon
To Next Page IconTo Next Page
To Next Page IconTo Next Page
To Previous Page IconTo Previous Page
To Previous Page IconTo Previous Page
Loading...
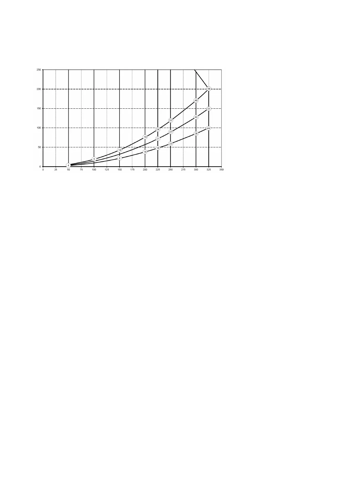
Resistance
of
duct
system
[Pa]
Note:
The
stated
value
in
the
circle
is
the
capacity
(in
Watt)
per
fan.
Flow rate [m
3
/h]
Ubiflux Vigor W325 615743-G

Table of Contents

Related product manuals