EasyManua.ls Logo

VELMEX VXM-3 - Page 63

VELMEX VXM-3
88 pages
Print Icon
To Next Page IconTo Next Page
To Next Page IconTo Next Page
To Previous Page IconTo Previous Page
To Previous Page IconTo Previous Page
Loading...
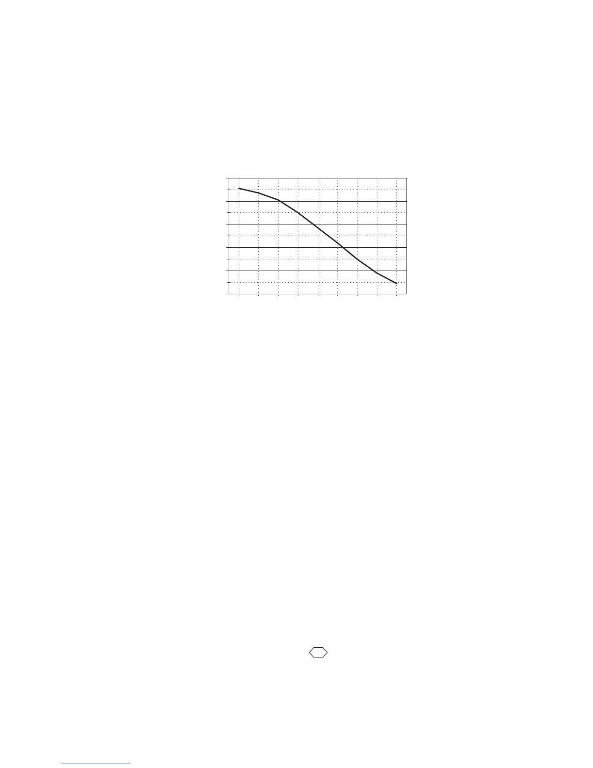
Motor Torque Curves(continued)
(Torquemeasuredat100%powersettings)
6
0.5 1.25 2.5 5.0 7.5 10 12.5 15
rev/sec
steps/sec
40
60
80
100
120
140
Torque(oz-in)
1 200 500 1000 2000 3000 4000 5000 6000
Speed
Slo-Syn M062 4.7A