EasyManua.ls Logo

Viessmann B2HA 80 - Low Water Cut-Off; Waterside Flow; Waterside Flow (Primary Circuit)

Viessmann B2HA 80
64 pages
Print Icon
To Next Page IconTo Next Page
To Next Page IconTo Next Page
To Previous Page IconTo Previous Page
To Previous Page IconTo Previous Page
Loading...
Vitodens 200-W B2HA 80 to 100, 285 to 352 Installation
5685 827 - 14
30
Boiler Connections
Waterside flow (primary circuit)
The Vitodens 200-W, B2HA is designed for closed loop,
forced circulation hot water heating systems only.
Use standard friction loss method for pipe sizing. Observe
boiler maximum and minimum flow rate limitations.
If system flow rate exceeds boiler maximum flow rate
(as stated above), falls below the minimum flow rate
or if system flow rate is unknown, Viessmann strongly
recommends the installation of a low-loss header.
Safety Connections (continued)
Waterside Flow
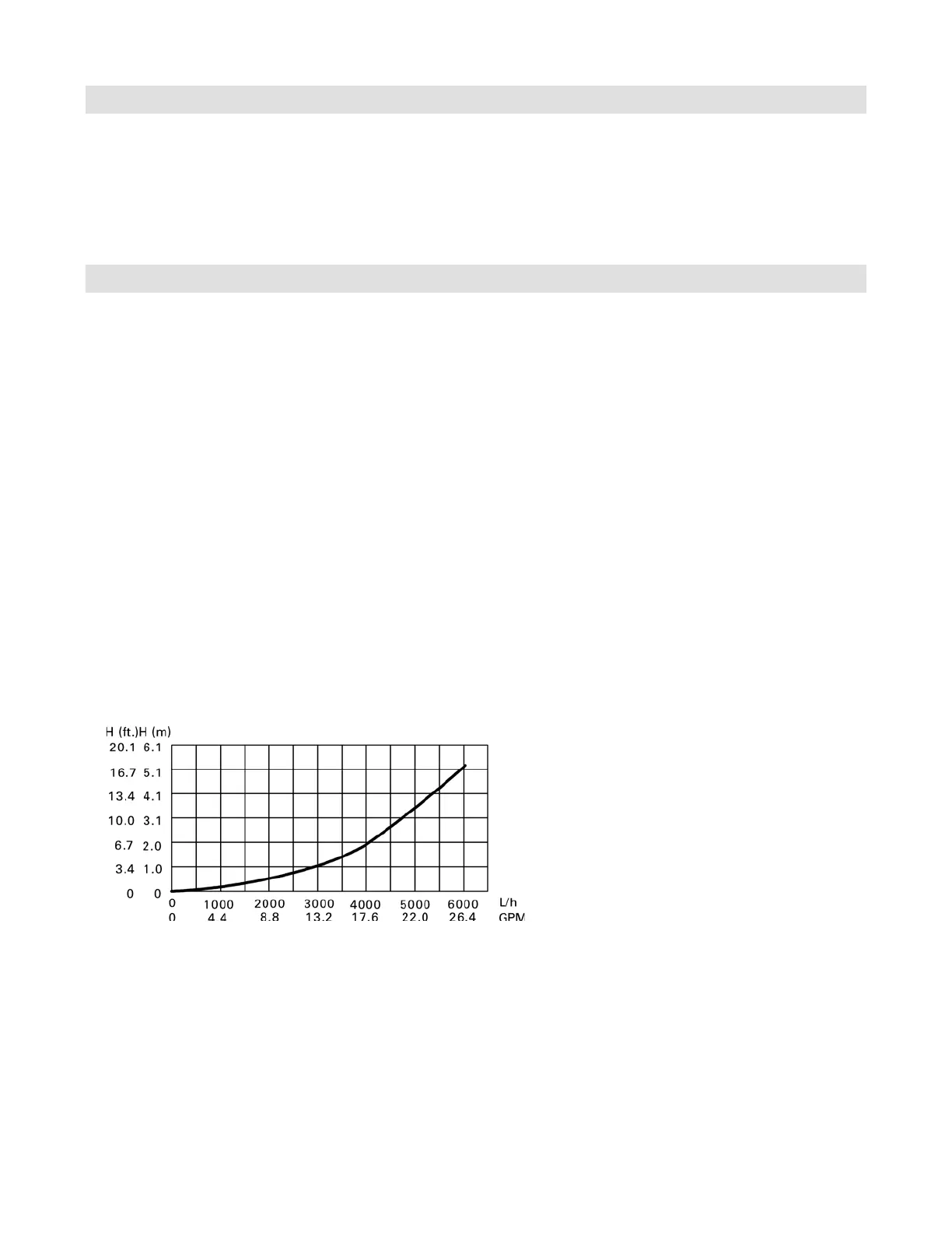
Supply head pressure (water)
Flow rate
Once the low-loss header is connected, the built-in low-
loss header logic of the Vitodens 200-W boiler ensures
the required t across the system through the sensory
communication between the low-loss header and the
boiler.
An alternative method may be used, such as primary
secondary piping using closely spaced tees. A low-loss
header offers additional benefits not provided by a pair
of closely spaced tees. Viessmann therefore strongly
recommends and prefers the use of a low-loss header
over closely spaced tees. Refer to the Technical Data
manual for low-loss header information.
Pressure drop (primary circuit) for:
Vitodens 200-W, B2HA 80, 88, 100, 285, 311, 352
For sizing an on-site circulation system.
Max. flow rate 25 USGPM (5700 L/h)
Low water cut-off
A low water cut-off device may be required by local codes.
If required, a low water cut-off device of an approved type
(field supplied), is to be installed as per the manufacturers
instructions. DO NOT install an isolation valve between the
boiler and the low water cut-off device.

Table of Contents

Related product manuals