EasyManua.ls Logo

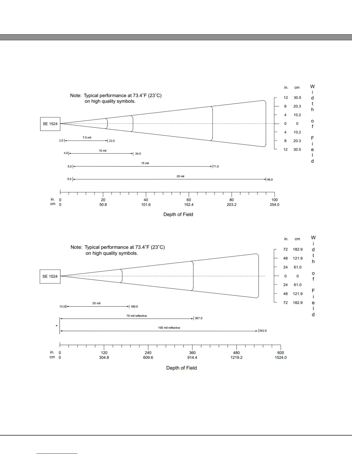
AML Triton - Reading Distance for the Lorax (SE1524) Laser

AML Triton
84 pages
Print Icon
To Next Page IconTo Next Page
To Next Page IconTo Next Page
To Previous Page IconTo Previous Page
To Previous Page IconTo Previous Page
Loading...
1 - 13
USER’S GUIDE Triton Wireless Hand-held Terminal
Data Capture and Bar Code Scanners - cont’d.
Reading distance for the Lorax (SE1524) Laser

Table of Contents

Related product manuals