EasyManua.ls Logo

Buderus Logamatic 4321 - Heating Control Panel Calculations

Buderus Logamatic 4321
80 pages
Print Icon
To Next Page IconTo Next Page
To Next Page IconTo Next Page
To Previous Page IconTo Previous Page
To Previous Page IconTo Previous Page
Loading...
What you should know about your heating system
2
Logamatic 4321/4322 - Technical specifications are subject to change without prior notice.
7
Why do you need a heating control panel?
The control panel ensures convenient heat and
economical consumption of fuel and electrical energy.
It
switches the heat generator (boiler and burner) and
pumps ON, if warm rooms or hot water are desired. In
doing so, it uses the components of your heating system
at the correct time.
Furthermore, your heating system records different
variables that influence the room temperature and
compensates for these.
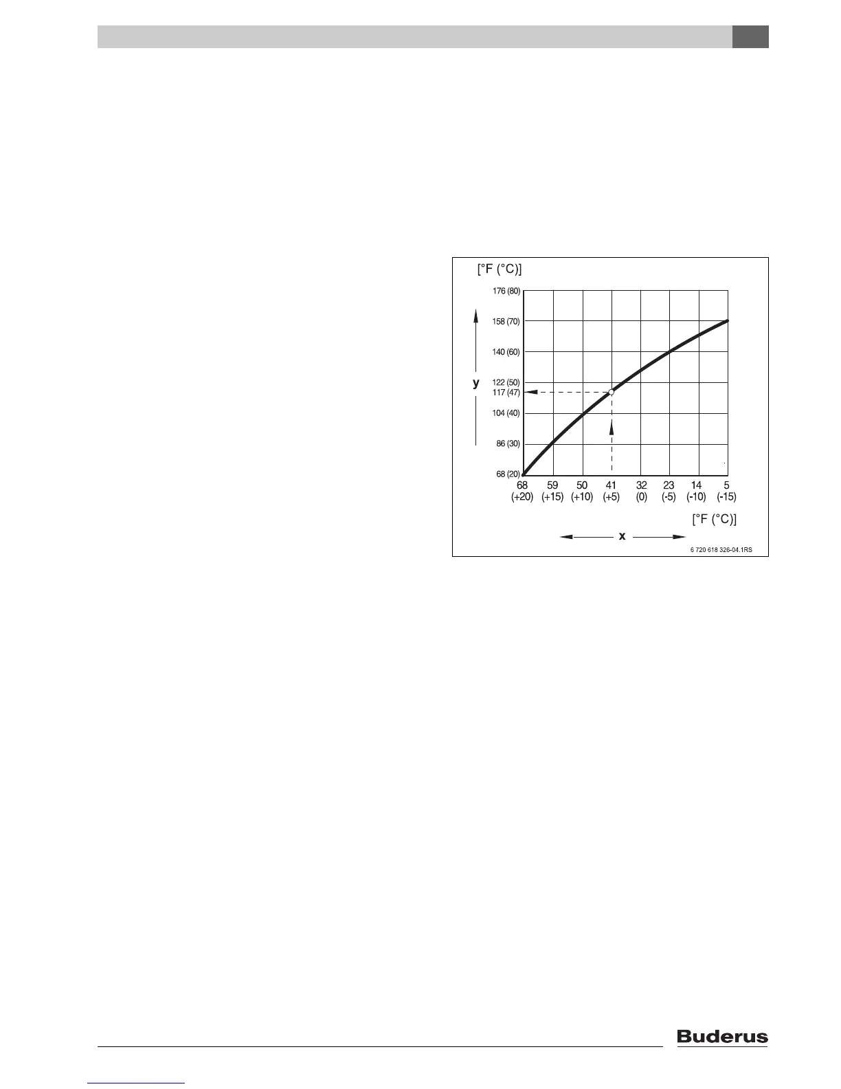
What does the heating control panel calculate?
Advanced control panels calculate the boiler
temperature (the so-called supply temperature) subject
to the outdoor temperature. The relationship between
the outdoor temperature and the supply temperature is
described as the heating curve. The lower the outdoor
temperature, the higher the supply temperature must be.
The control panel can operate in three control modes:
Weather-compensated control (outdoor reset)
Room temperature control (room reset)
Weather-compensated control with room
temperature compensation
(outdoor reset with room compensation)
Fig. 3 Heating zone curve (example)
x Outdoor temperature
y Supply temperature

Table of Contents

Related product manuals