EasyManua.ls Logo

Burkert SE56 - Page 115

Burkert SE56
125 pages
Print Icon
To Next Page IconTo Next Page
To Next Page IconTo Next Page
To Previous Page IconTo Previous Page
To Previous Page IconTo Previous Page
Loading...
SE 56
31
MENU 3 - MESURE
(POS. 3.1) Atténuation [Damping=OFF/SMART X/(time)]
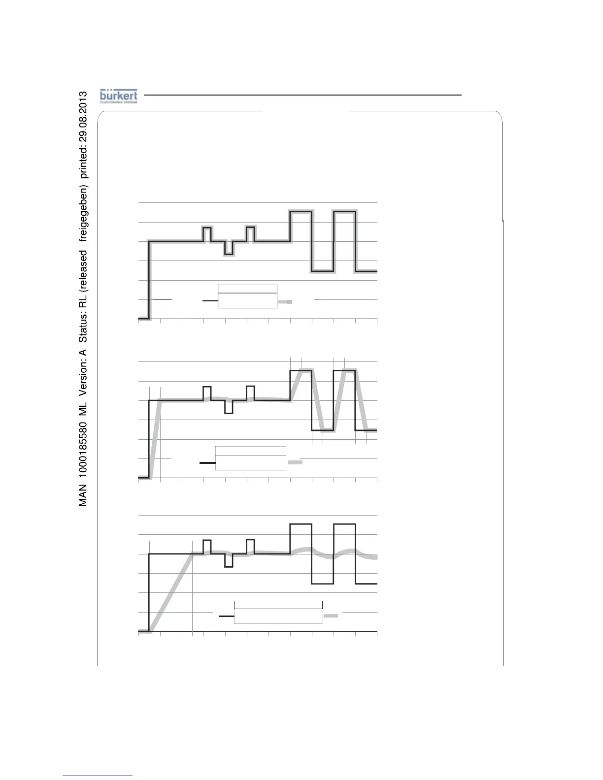
Cette section du manuel est très importante. Un réglage correct des filtres assure une réponse
adaptée de l’appareil au débit mesuré. Les valeurs de filtres disponibles vont de l’absence
d’atténuations (atténuation=OFF) à un maximum d’atténuation de 1000 secondes (Damping=1000).
Les trois diagrammes ci-dessous montrent le comportement de l’appareil selon différents
paramétrages de filtres, avec une plage de changement de débit de 1-100%.
10
20
30
40
50
60
0
0
2
4
6
8
10
12
14
16
18
20
22
Atténuation = OFF
FILTRES
>>>>
>>>>
10
20
30
40
50
60
0
0
2
4
6
8
10
12
14
16
18
20
22
10
20
30
40
50
60
0
0
2
4
6
8
10
12
14
16
18
20
22
1,0sec.
1,0sec.
1,0sec.
1,0sec.
Atténuation = SMART1
DÉBIT
MESURE
FILTRES
>>>>
>>>>
ENTRÉE
SORTIE
Atténuation= de 0.2s à 1000s
DÉBIT
MESURE
FILTRES
>>>>
>>>>
ENTRÉE
SORTIE
MESURE (%)
TEMPS (Sec)
TEMPS (Sec)
MESURE (%)
TEMPS (Sec)
MESURE (%)
Exemple atténuation à 5,0sec.
Exemple atténuation sur SMART1
Exemple sans atténuation (OFF)
Atténuation (Smart
1,2,4) : réaction
rapide aux fortes
variations du débit,
avec lissage des
mesures des petites
variations du débit
Mode d’atténuation sur
la durée (de 0.2s à
1000s.). La mesure est
calculée en fonction de
la moyenne
d’échantillons
déterminés par la valeur
donnée à la fonction
d’atténuation. Quand le
paramètre d’atténuation
est en seconde, le filtre
atténue les bruits de
mesure et les
changements brusques
de débit. Augmenter le
paramètre d’atténuation
augmente la stabilité de
la mesure.
Sans la fonction
d’atténuation(OFF) : la
mesure suit de très
près le comportement
du débit.
ENTRÉE
DÉBIT
MESURE
SORTIE

Table of Contents

Other manuals for Burkert SE56

Related product manuals