EasyManua.ls Logo

Carrier WEATHERMAKER 48A2020 - Page 70

Carrier WEATHERMAKER 48A2020
230 pages
To Next Page IconTo Next Page
To Next Page IconTo Next Page
To Previous Page IconTo Previous Page
To Previous Page IconTo Previous Page
Loading...
70
To comply Title 24 regulations, a dual minimum setpoint algo-
rithm is required to commend the economizer position. The
ComfortLink controller would calculate the minimum econo-
mizer opening (CALCECMN) based on the settings of SP.MN,
EP.MS, SP.MX, and EP.XS. The economizer will be command-
ed to the same position for all fans speeds if EP.MS=EP.XS.
This is how the current EC.MN/ECONOMIN point works and
how the dual minimum setpoint design would function by de-
fault. If configured for static pressure control and IAQ, the con-
trol will calculate the economizer position between IAQ.M
[IAQMINP] and CALCECMN (not IAQ.M [IAQMINP] and
EC.MN [ECONOMIN] as is currently done). If configured for
static pressure control and IAQ, the controller will calculate the
economizer position between IAQ.M [IAQMINP] and CALCE-
CMN (not IAQ.M [IAQMINP] and EC.MN [ECONOMIN] as
is shown in Fig. 13). When configured for static pressure reset,
the calculated offset will be added to CALCECMN. This per-
forms the function of shifting the interpolated line based on the
amount of static pressure reset required.
The following example illustrates how the ComfortLink soft-
ware would work. The installer would have to calculate the
economizer positions at minimum and maximum supply fan
speeds and enter this data into the unit.
Using the following settings:
EP.MS=20 (economizer commanded to 20% when
SFAN_VFD=SP.MN)
EP.XS=5 (economizer commanded to 5% when
SFAN_VFD=SP.MX)
SP.MN=20 (minimum SFAN_VFD speed)
SP.MX=100 (maximum SFAN_VFD speed)
The economizer position would be command based on the sup-
ply fan speed by interpolation between the (20,20) and (100,5)
coordinates: The results are shown in Fig. 15. The comparison
between the Dual Setpoint and Fixed Minimum configurations
is shown in the following example as in Fig. 16.
SETTING UP THE SYSTEM
The IAQ configuration options are under the Local Display
Mode Configuration

IAQ. See Table 68.
Economizer Min Position (Configuration

IAQ

DCV.C

EC.MN)
This is the fully occupied minimum economizer position.
IAQ Demand Vent Min Pos. (Configuration

IAQ

DCV.C

IAQ.M)
This configuration will be used to set the minimum damper po-
sition in the occupied period when there is no IAQ demand.
IAQ Analog Sensor Config (Configuration

IAQ

AQ.CF

IQ.A.C)
This is used to configure the type of IAQ position control. It
has the following options:
IQ.A.C = 0 (No analog input). If there is no other mini-
mum position control, the economizer minimum position
will be Configuration

IAQ

DCV.C

EC.MN and
there will be no IAQ control.
IQ.A.C = 1 (IAQ analog input). An indoor air (space or re-
turn air) CO
2
sensor is installed. If an outdoor air CO
2
sen-
sor is also installed, or OAQ is broadcast on the CCN, or if
a default OAQ value is used, then the unit can perform
IAQ control.
IQ.A.C = 2 (IAQ analog input with minimum position
override) — If the differential between IAQ and OAQ is
above Configuration

IAQ

AQ.SP

DAQ.H, the
economizer minimum position will be the IAQ override
position (Configuration

IAQ

AQ.SP

IQ.O.P).
IQ.A.C = 3 (4 to 20 mA minimum position) — With a 4 to
20 mA signal connected to TB5-6 and 7, the economizer
minimum position will be scaled linearly from 0% (4 mA)
to EC.MX (20 mA).
IQ.A.C = 4 (10K potentiometer minimum position) — With a
10K linear potentiometer connected to TB5-6 and 7, the
economizer minimum position will be scaled linearly from
0% (0 ohms) to EC.MX (10,000 ohms).
IAQ Analog Fan Config (Configuration

IAQ

AQ.CF

IQ.A.F)
This configuration is used to configure the control of the in-
door fan. If this option is used then the IAQ sensor must be in
the space and not in the return duct. It has the following config-
urations:
IQ.A.F = 0 (No Fan Start) — IAQ demand will never
override normal indoor fan operation during occupied or
unoccupied period and turn it on.
IQ.A.F = 1 (Fan On If Occupied) — IAQ demand will
override normal indoor fan operation and turn it on (if off)
only during the occupied period (CV operation with auto-
matic fan).
IQ.A.F = 2 (Fan On Occupied/Unoccupied) — IAQ demand
will always override normal indoor fan operation and turn it
on (if off) during both the occupied and unoccupied period.
For IQ.A.F = 1 or 2, the fan will be turned on when DAQ is
above the DAQ Fan On Setpoint (Configuration

IAQ

AQ.SP

D.F.ON). The fan will be turned off when DAQ is
below the DAQ Fan Off Setpoint (Configuration

IAQ

AQ.SP

D.F.OF). The control can also be set up to respond
to a discrete IAQ input. The discrete input is connected to
TB5-6 and 7.
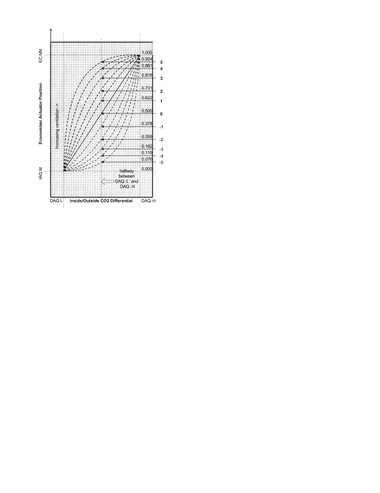
NOTE: Calculating the IAQ.M and EC.MN damper position based
on differential IAQ measurement.
Based on the configuration parameter IAQREACT, the reaction to
damper positioning based on differential air quality ppm can be
adjusted.
IAQREACT = 1 to 5 (more responsive)
IAQREACT = 0 (linear)
IAQREACT = –1 to –5 (less responsive)
Fig. 14 — IAQ Response Curve

Table of Contents

Related product manuals