EasyManua.ls Logo

Covidien Force FX-C - Page 104

Covidien Force FX-C
130 pages
Print Icon
To Next Page IconTo Next Page
To Next Page IconTo Next Page
To Previous Page IconTo Previous Page
To Previous Page IconTo Previous Page
Loading...
Output Power vs. Resistance Graphs
9-20 Force FX Electrosurgical Generator C User’s Guide
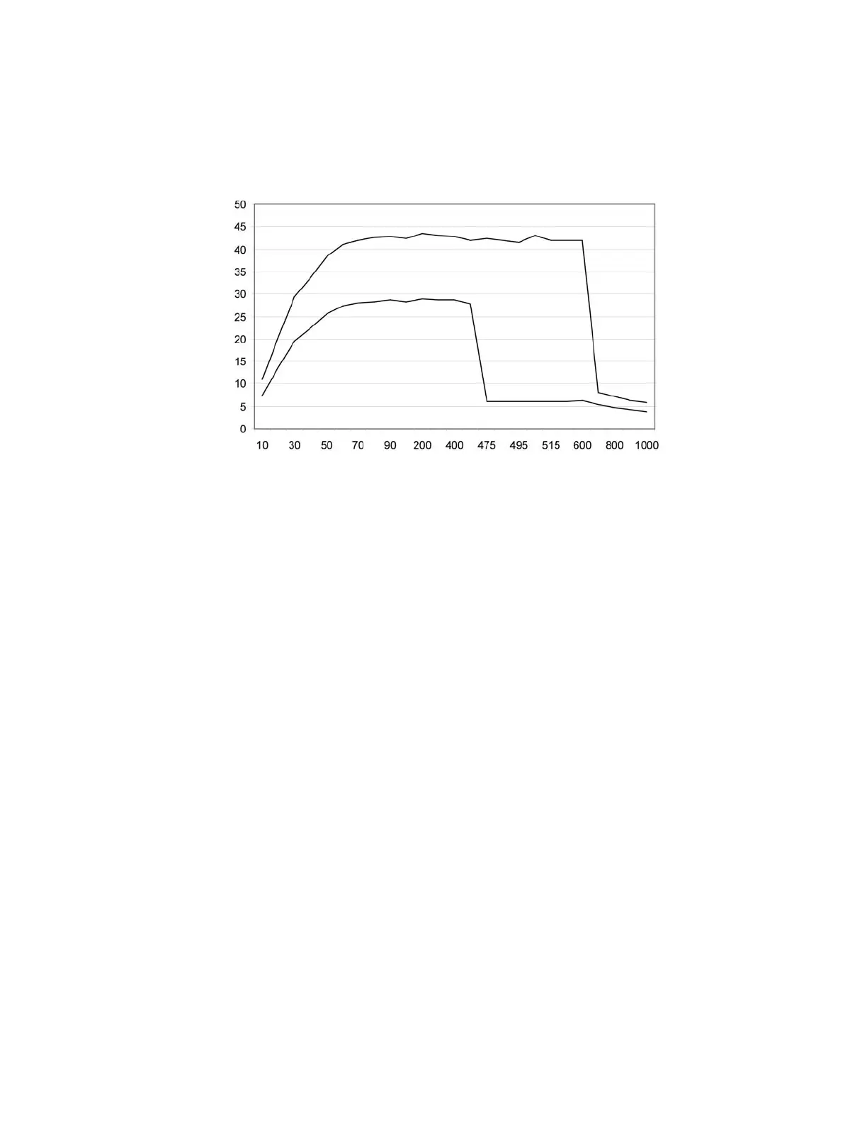
Output power vs. impedance for Standard bipolar 70W mode
Note: In the Bipolar Standard mode only, the power curve will reflect both High and Low
output values between the impedance range of 475-600 ohms. This is based on the
sensed impedance value the generator calculates, and the tolerances of the sensing
circuits. This is a function of the generator, as the software is designed to reduce (switch
to Low output) the output power when the impedance exceeds a reference
(475-600 ohms impedance) level. Clinically, above 475 ohms the tissue is almost
completely desiccated. By dropping to lower output power levels, we allow the surgeon
sufficient time to deactivate the output before tissue sticking occurs.
Load Resistance (ohms)
Output Power (watts)

Table of Contents

Related product manuals