EasyManua.ls Logo

E.C.A. CITIUS PREMIX - Annexes

E.C.A. CITIUS PREMIX
40 pages
Print Icon
To Next Page IconTo Next Page
To Next Page IconTo Next Page
To Previous Page IconTo Previous Page
To Previous Page IconTo Previous Page
Loading...
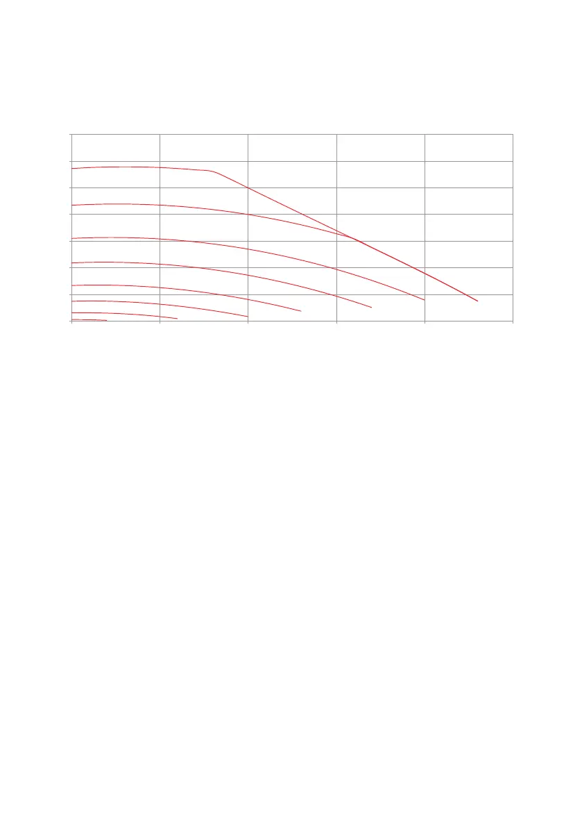
14. ANNEXES
14.1. Characteristic curve of water pressure height of the pump (pump head-
flow rate)
Figure 20
0,00
1,00
2,00
3,00
4,00
5,00
6,00
7,00
0,00 0,50 1,00 1,50 2,00 2,50
H [m]
Q [m3/h]
Flow - Head Curve
30

Related product manuals