EasyManua.ls Logo

Electrolux WMD1050 - Fast Unbalance Control System

Electrolux WMD1050
36 pages
Print Icon
To Next Page IconTo Next Page
To Next Page IconTo Next Page
To Previous Page IconTo Previous Page
To Previous Page IconTo Previous Page
Loading...
15
FUCS(Fast Unbalance Control System)
The control procedure for unbalanced loads is performed dynamically, before each spin cycle, as follows:
An initial phase is performed in which the direction of rotation of the drum is alternated at 55 rpm.
The phase begins at a speed of 55 rpm; the speed can never fall below this threshold, otherwise the
check is repeated.
At intervals of 300 ms, the balance is calculated and compared with predetermined limits. If the value is
less than the lower limit, the speed of the drum is increased by 2 rpm; if the value is higher, the speed of
the drum is reduced by 2 rpm. The reduction in the speed of the drum distributes the washing correctly;
this procedure is repeated until the wash load is completely balanced.
Correct balancing of the wash load is achieved at a speed of 115 rpm, after which the spin cycle begins.
The Unbalancing Control function takes place in four phases; each phase is characterized by an
unbalancing threshold and a time-out (maximum time).
Phase 0: Phase 0 has a predetermined unbalancing threshold; if correct balancing of the wash load is
achieved, the appliance performs a 470 rpm spin pulse, preceded by 5 seconds at 100 rpm and
followed by phase 1; otherwise, after a maximum of 60 seconds, the cycle passes directly to
phase 1.
Phase 1: The first phase has a different preset unbalancing threshold: if correct balancing is achieved, the
appliance performs the spin cycle, preceded by 5 seconds at 100 rpm. If not, after a maximum of
120 seconds, the cycle passes to phase 2.
Phase 2: The pre-determined unbalancing threshold in the second phase is different: if correct balancing is
not achieved within 60 seconds, the function passes to phase 3.
Phase 3: The third phase has a pre-determined unbalancing threshold: if correct balancing is achieved
within 90 seconds, a spin pulse is performed, preceded by 5 seconds at 100 rpm and followed by
a repeat of phase 1. If the load is highly unbalanced after the second attempt for phase 3, the
spin cycle is skipped; if balancing is not perfect, a reduced-speed spin is performed.
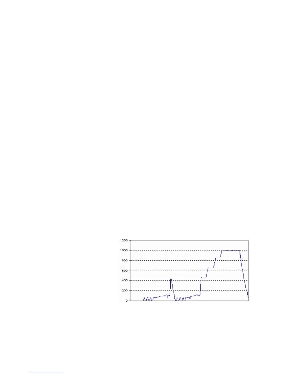
6.17.1 Examples of operation of the unbalancing control function
The examples shown below describe the operation of an appliance with a final spin speed of 1000 rpm.
Perfect balancing
Low speed
FUCS phase 0 + spin pulse
Low speed
FUCS phase 1
Normal spin

Related product manuals