EasyManua.ls Logo

Emerson Rosemount 56 - PID Control; Introduction to PID Control

Emerson Rosemount 56
136 pages
Print Icon
To Next Page IconTo Next Page
To Next Page IconTo Next Page
To Previous Page IconTo Previous Page
To Previous Page IconTo Previous Page
Loading...
Instruction Manual Section 7: PID Control
LIQ-MAN-56 April 2017
PID Control 55
Section 7.0 PID Control
7.1 Introduction
7.1.1 Measurement and Set Point (Feedback Control)
The 56 controller is given two items of information: measurement and set point. The
controller reacts to the difference in value of these two signals and produces an analog
output signal to eliminate that difference. As long as the difference exists, the controller will
try to eliminate it with the output signal. When measurement and set point are equal, the
condition of the controller is static and its output is unchanged. Any deviation of
measurement from set point will cause the controller to react by changing its output signal.
7.1.2 Proportional Mode
The simplest control is proportional control. In this control function, the error from set point,
divided by the control range, is multiplied by the Gain constant to produce the output.
The control range is the percent of the analog output span (the difference between the 4 (or
0) mA and 20 mA settings) through which the measured variable must move to change the
output from minimum to maximum.
The smaller the Gain, the less the controller reacts to changes in the measured variable. The
larger the Gain, the more the controller reacts to changes in the measured variable.
The proportional control output is given by the expression below. As can be seen, the overall
gain is determined by the control range chosen (URV and LRV) and the Gain:
Proportional Output (%) = Gain * (PV – SP) * 100 / (URV, upper range value and LRV, lower
range value).
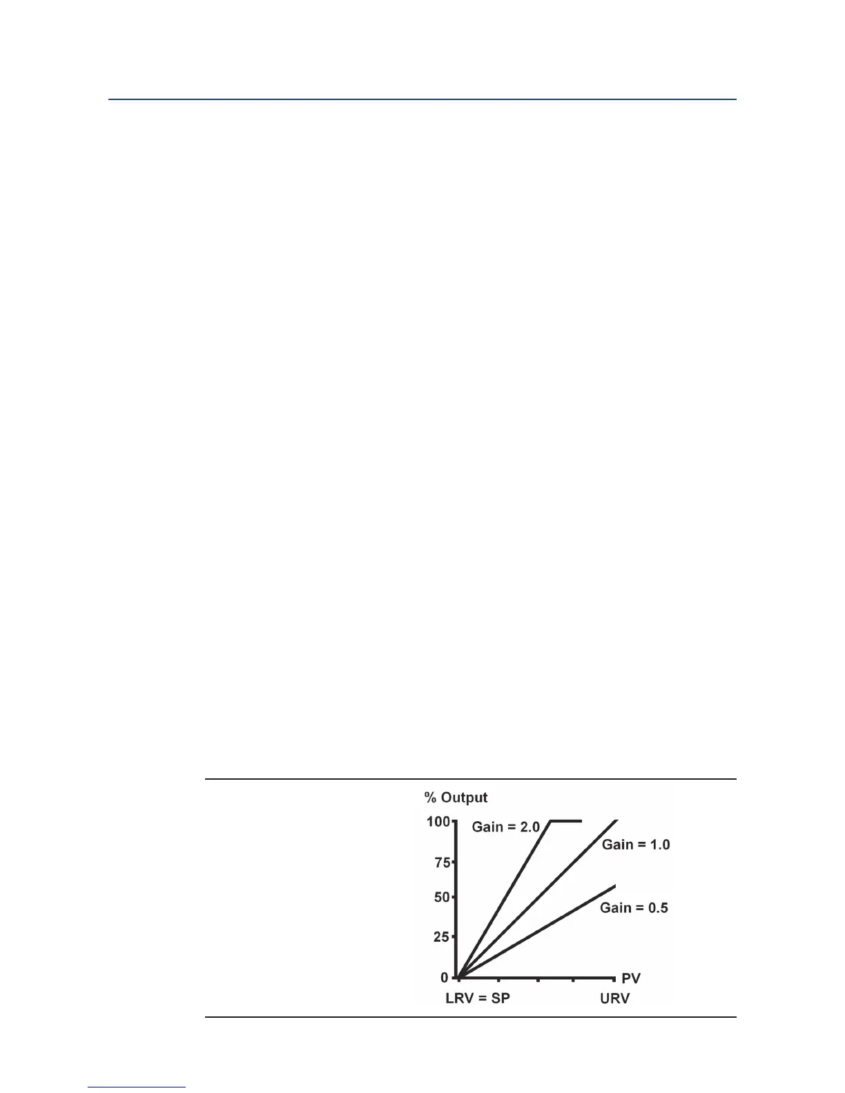
7.1.2.1 Direct Acting Control Action
Direct acting control action increases the control output as the measured variable increases
above the setpoint. The LRV is usually set to the setpoint value, so that the control output is
0% at the setpoint, and the URV is greater than the setpoint so that the 100% control output
is at a higher measurement value. The Gain parameter can then be adjusted to produce the
desired gain.
Fig. 7-1 Direct Acting Control

Table of Contents

Other manuals for Emerson Rosemount 56

Related product manuals