EasyManua.ls Logo

FLIR i3 - Stefan-Boltzmanns Law

FLIR i3
178 pages
Print Icon
To Next Page IconTo Next Page
To Next Page IconTo Next Page
To Previous Page IconTo Previous Page
To Previous Page IconTo Previous Page
Loading...
10327203;a4
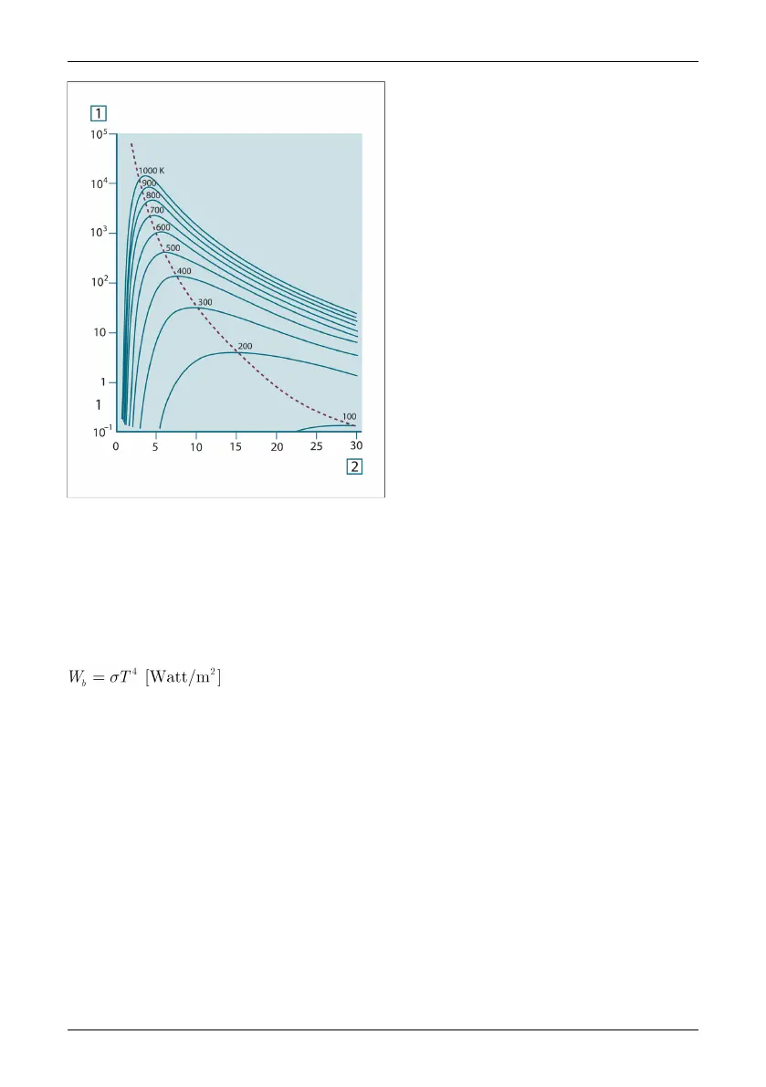
Figure 22.6 Planckian curves plotted on semi-log scales from 100 K to 1000 K. The dotted line represents
the locus of maximum radiant emittance at each temperature as described by Wien's displacement law.
1: Spectral radiant emittance (W/cm
2
(μm)); 2: Wavelength (μm).
22.3.3 Stefan-Boltzmann's law
By integrating Planck’s formula from λ = 0 to λ = ∞, we obtain the total radiant
emittance (W
b
) of a blackbody:
This is the Stefan-Boltzmann formula (after Josef Stefan, 1835–1893, and Ludwig
Boltzmann, 1844–1906), which states that the total emissive power of a blackbody is
proportional to the fourth power of its absolute temperature. Graphically, W
b
represents
the area below the Planck curve for a particular temperature. It can be shown that the
radiant emittance in the interval λ = 0 to λ
max
is only 25% of the total, which represents
about the amount of the sun’s radiation which lies inside the visible light spectrum.
138 Publ. No. T559580 Rev. a486 ENGLISH (EN) November 17, 2010
22 Theory of thermography

Table of Contents

Other manuals for FLIR i3

Related product manuals