EasyManua.ls Logo

GE MI-869 - Page 254

GE MI-869
552 pages
To Next Page IconTo Next Page
To Next Page IconTo Next Page
To Previous Page IconTo Previous Page
To Previous Page IconTo Previous Page
Loading...
4–136 869 MOTOR PROTECTION SYSTEM – INSTRUCTION MANUAL
PROTECTION CHAPTER 4: SETPOINTS
TRIP RESET TIME
Range: 0.00 to 180.00 s in steps of 0.01 s
Default: 1.00 s
This setting defines the linear reset time of the trip element time accumulator. It is the
maximum reset time from the threshold of tripping based on the motor unbalance
inverse curve. The reset time has an accumulator/integrator to represent the thermal
memory counter which increments linearly if the motor unbalance current is above the
threshold, and decrements linearly if it is below the threshold. This setting is only
applicable when Trip Curve is programmed as Inverse Time.
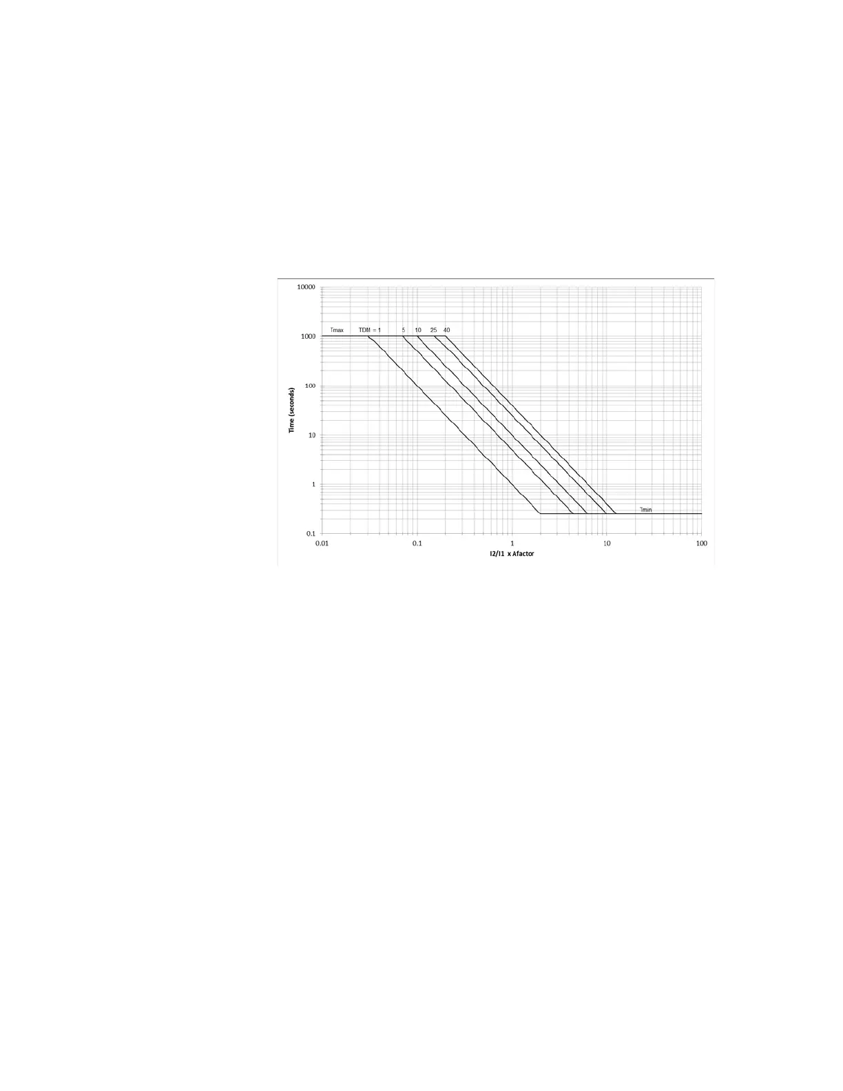
Figure 4-42: Unbalance Inverse Time Curves
TRIP DROPOUT DELAY
Range: 0.00 to 180.00 s in steps of 0.01 s
Default: 1.00 s
The setting specifies a time delay to reset the trip command. This delay must be set long
enough to allow the breaker or contactor to disconnect the motor. This setting is only
applicable when Trip Curve is programmed as Definite Time.
TRIP OUTPUT RELAY X
Range: Do Not Operate, Operate
Default: Do Not Operate
Any assignable output relay can be selected to operate upon Current Unbalance
operation.
ALARM FUNCTION
Range: Disabled, Alarm, Latched Alarm
Default: Disabled
The setting enables the Current Unbalance Alarm functionality.
ALARM PICKUP
Range: 4.0 to 50.0% in steps of 0.1%
Default: 10%
The Alarm Pickup setting specifies a pickup threshold for the alarm function.
For example, if the supply voltage is normally unbalanced up to 2%, the current
unbalance seen by a typical motor is 2 × 6 = 12%. In this case, set the current unbalance
alarm pickup to “15%” and the current unbalance trip pickup to “20%” to prevent
nuisance tripping; 5 or 10 seconds is a reasonable delay.

Table of Contents

Related product manuals