EasyManua.ls Logo

Hanbell RC2-930A - Page 58

Default Icon
84 pages
Print Icon
To Next Page IconTo Next Page
To Next Page IconTo Next Page
To Previous Page IconTo Previous Page
To Previous Page IconTo Previous Page
Loading...
Technical Manual VERSION 2.0 -10-18-2018
58

Specification : Pt100 sensor
Recommended max. meas. Current for heat coefficient <0.1K  DC 1 ~ 3
mA
Heating coefficient  10m/K
Sensor resistance at 0 100±0.12
Change of resistance 0 ~ 100  0.385/K
Insulation test voltage U is – AC 1.5kV
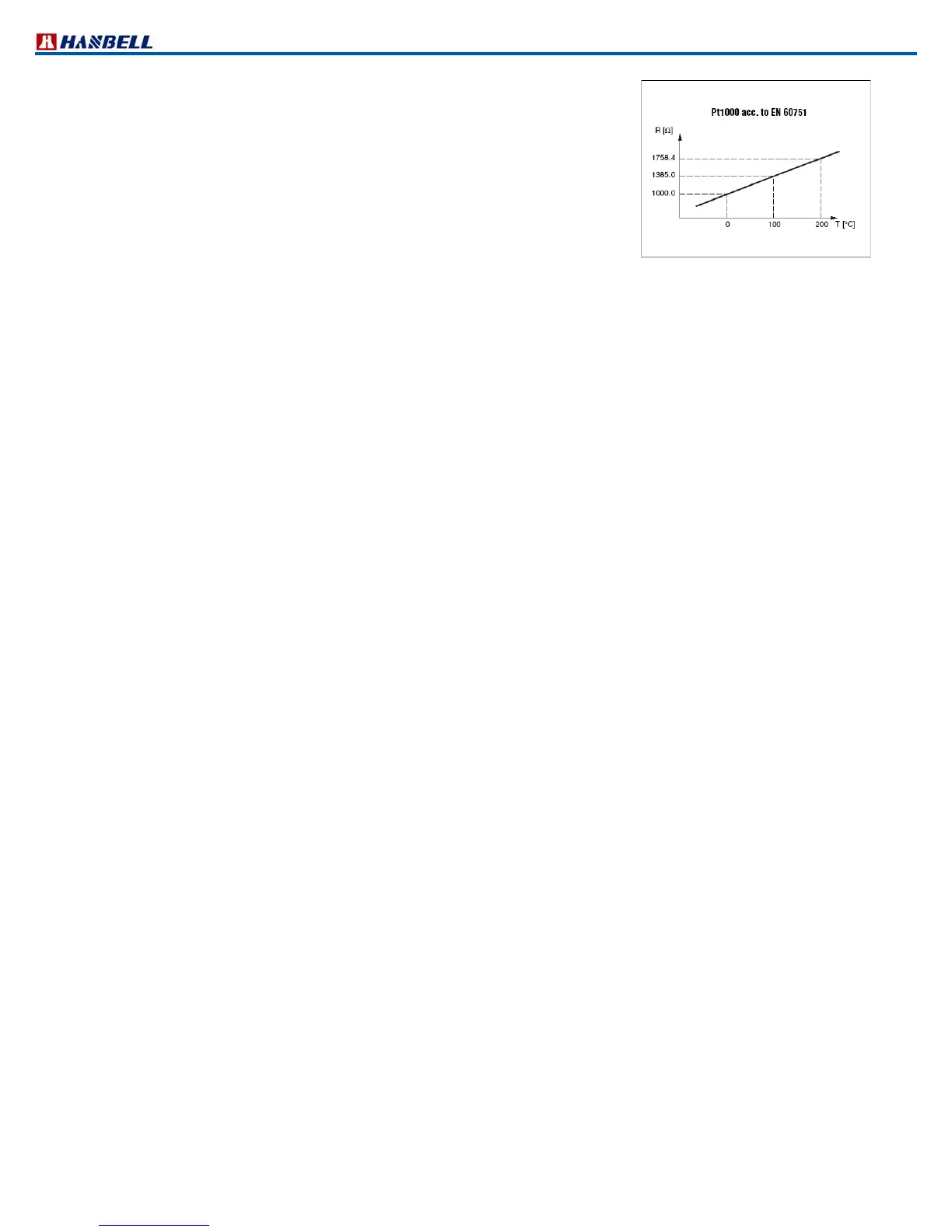
Specification : Pt1000 sensor
Recommended max. meas. Current for heat coefficient < 0.1K – DC0.2 ~
2mA
Sensor resistance at 0 1000±1.20
Change of resistance 0 ~ 100  3.85/K
Insulation test voltage U is – AC 1.5kV
Note: Please specify Pt100 or Pt1000 sensor when placing orders to Hanbell.
Figure 5
2
Pt1000 sensor

Related product manuals