EasyManua.ls Logo

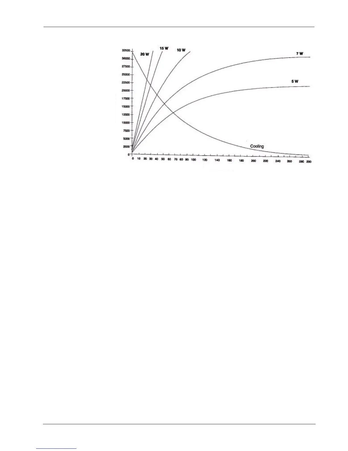
Kodak 2100 - Heating and Cooling Curves

Kodak 2100
41 pages
Print Icon
To Next Page IconTo Next Page
To Next Page IconTo Next Page
To Previous Page IconTo Previous Page
To Previous Page IconTo Previous Page
Loading...
9/2007 SM700_K2100_03_en 6-5
Figure 17. Heating and cooling curves of the KODAK 2100 system
tube head
Time in minutes
Energy in Joules

Other manuals for Kodak 2100

Related product manuals