EasyManua.ls Logo

Marathon Electric DVR 2000E+ - Protection Features Overview

Marathon Electric DVR 2000E+
72 pages
Print Icon
To Next Page IconTo Next Page
To Next Page IconTo Next Page
To Previous Page IconTo Previous Page
To Previous Page IconTo Previous Page
Loading...
15
4
Generator Start Up Shutdown (EC+ Only)
The Generator Start Up Shutdown protection feature
is triggered if the generator is started up in either
VAR or PF regulation modes with the VAR/PF_OFF
input contact open.
CONFIGURABLE PROTECTION ALARMS
Generator Under Frequency Alarm
The Generator Under Frequency Alarm triggers if
generator frequency drops below the under fre-
quencyknee.Thevoltagesetpointisautomatically
adjusted by the DVR
®
so that generator voltage
follows the selected V/Hz curve.If generator fre-
quency drops below 25 Hz, the regulator will stop
providing generator excitation and AC metering.
Note: If generator frequency drops below a detectable
level and generator speed is greater than 850 RPM, a
short circuit condition is assumed and the regulator will
force current up to the Field Current Limit value (see
Field Current Limiting below).
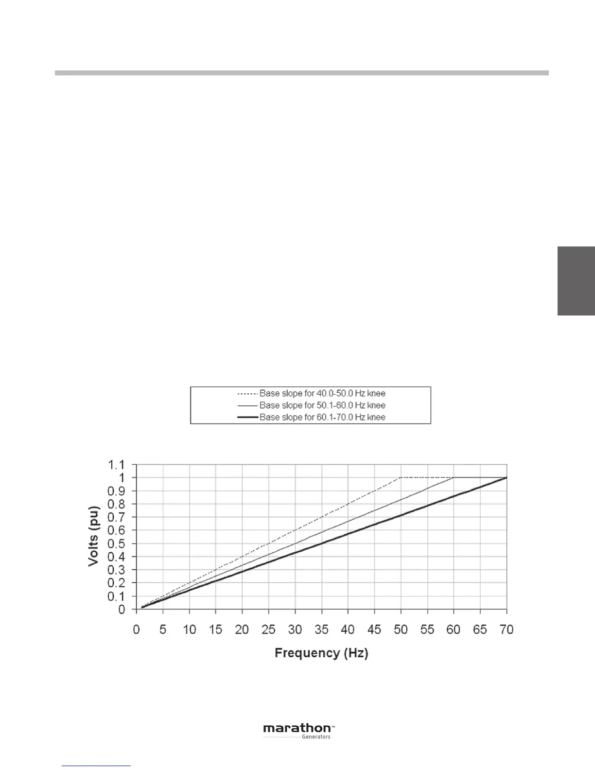
The V/Hz slope is dependent upon the under fre-
quency knee and the slope multiplier.The base
slope is defined according to the following (see
Figure 4-2):
• Foranunderfrequencykneebetween40.0and
50.0Hz,thebaseslopeis1/50(0.02)VPU/Hz,
• For an under frequency between 50.1 and 60.0
Hz,thebaseslopeis1/60(0.0167)VPU/Hz,
• For an under frequency between 60.1 and 70.0
Hz,thebaseslopeis1/70(0.0143)VPU/Hz,
where VPU = 1.0 at regulator voltage set point. The
base slope is modified by the slope multiplier to
achieve a desired voltage roll-off characteristic. See
Figure 4-3 for examples.
Features and Protection
Figure 4-2. Volts/Hertz Slopes vs. Knee Frequency
GPN046 04-13.indd 15 4/5/13 10:24 AM

Other manuals for Marathon Electric DVR 2000E+

Related product manuals