EasyManua.ls Logo

Mastervolt PowerCombi 12V/1200W-50A 120V

Mastervolt PowerCombi 12V/1200W-50A 120V
28 pages
To Next Page IconTo Next Page
To Next Page IconTo Next Page
To Previous Page IconTo Previous Page
To Previous Page IconTo Previous Page
Loading...
PowerCombi Inverter/Charger
21
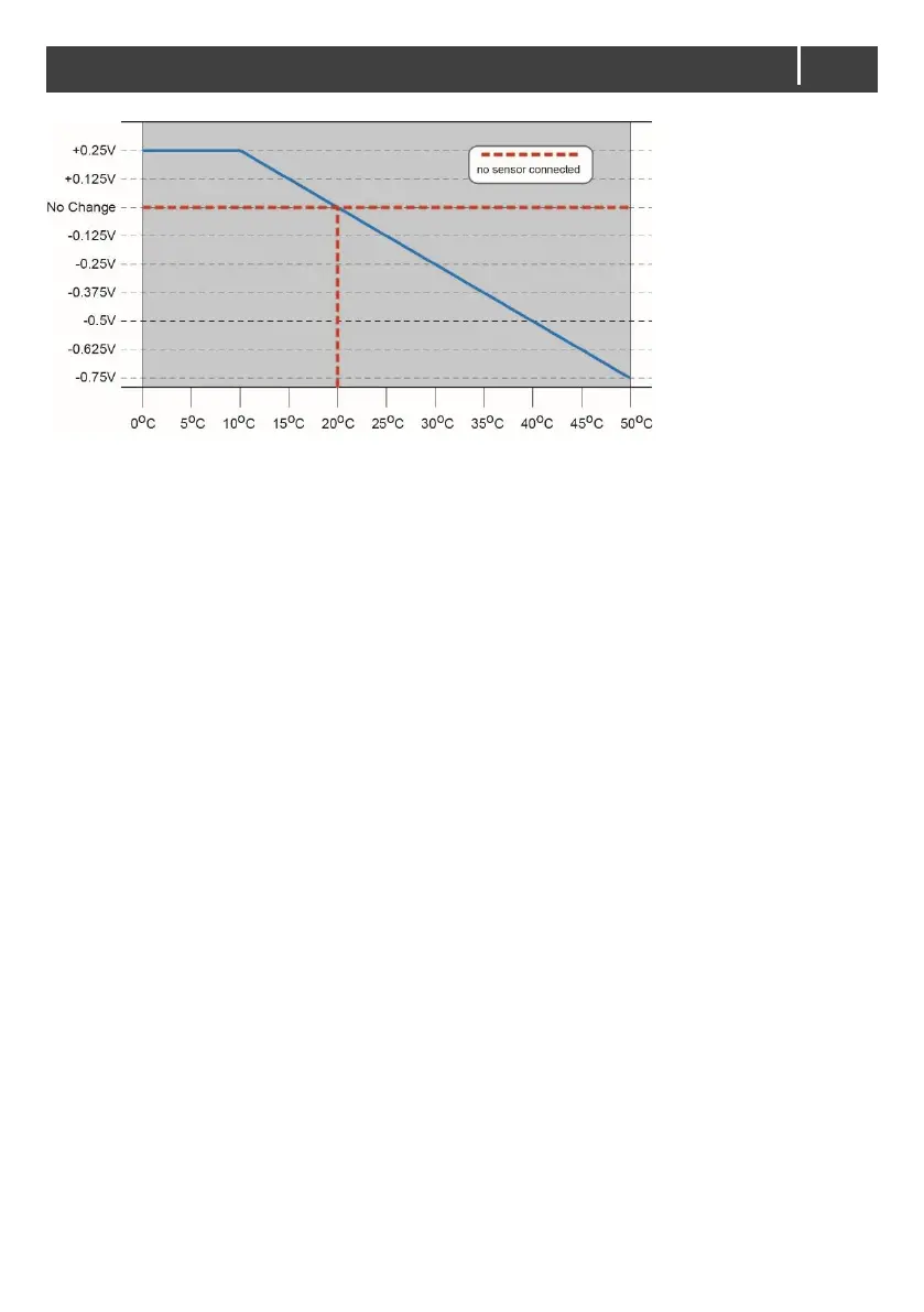
Figure 9
Temperature compensation using battery temperature sensor
6.5 Protections
Overload or short circuit; while in the inverter mode, the PowerCombi Inverter/Charger will
shut down automatically if the overload or short circuit lasts over 3 seconds. The PowerCombi
Inverter/Charger will automatically restart. After 4 failed start attempts, the PowerCombi
Inverter/Charger shuts down permanently. After the overload short circuit is removed, restart by
switching the PowerCombi Inverter/Charger manually off and on with the main switch.
High temperature; if the temperature of the PowerCombi Inverter/Charger exceeds 104°F
[40°C], it will reduce power. If it exceeds 140°F [60°C], it will shut down, trigger the status LEDs
and optionally a remote alarm. When cooled off, the PowerCombi Inverter/Charger will
automatically restart.
Under and over voltage; the AC-input of the PowerCombi Inverter/Charger is, within limits,
protected against over and under voltage. See specifications. If the AC-input voltage is out of
operating range, the unit will switch to inverter mode, disconnecting both AC inputs and it will
switch back if the AC-input voltage is within range again. The DC-input of the PowerCombi
Inverter/Charger is also protected against over and under voltage. See specifications. The
PowerCombi Inverter/Charger switches off if the DC-input voltage is out of range.
Reverse polarity; an integrated fuse protects the PowerCombi Inverter/Charger if the battery is
connected in reverse. Because the internal fuse is non-replaceable, the PowerCombi
Inverter/Charger must be returned for repair if the fuse blows.
AC Input breaker; A 30A thermal fuse protects the transfer switch of the PowerCombi
Inverter/Charger against overload. If the status LEDs indicate an overload, proceed as follows:
Step 1. Turn AC power off and disconnect all loads from the PowerCombi Inverter/Charger.
Step 2. Move the main switch to the Off position ().
Step 3. Investigate the cause of failure of the thermal fuse like overload or short-circuits.
Step 4. Wait for at least two minutes and then reset the fuse by pushing the button, item G in
Figure 3, at the AC side of the PowerCombi Inverter/Charger.
Step 5. Connect the PowerCombi Inverter/Charger to the power sources again.
Step 6. Turn on the PowerCombi Inverter/Charger.

Related product manuals