EasyManua.ls Logo

METREL MD 9273 - Flussdiagramme der Unterfunktionsauswahl

METREL MD 9273
76 pages
Print Icon
To Next Page IconTo Next Page
To Next Page IconTo Next Page
To Previous Page IconTo Previous Page
To Previous Page IconTo Previous Page
Loading...
MD 9273 Leakage Clamp Beschreibung der Prüffunktionen
49
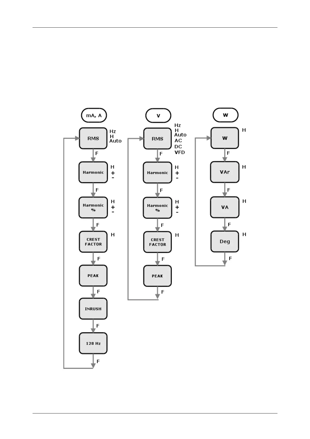
3.2 Flussdiagramme der Unterfunktionsauswahl
Abbildung 3.2: Flussdiagramme der Unterfunktionsauswahl zeigt ein Flussdiagramm der Tastaturnavigation
durch die verschiedenen Messunterfunktionen für jede der drei mit dem Drehschalter gewählten
Hauptfunktionen.
Unterfunktionen, die durch Quadrate dargestellt sind, werden durch das sequentielle Drücken der Taste F
ausgewählt und können weiter definiert werden, indem man die mit Text markierten Tasten neben den
Quadraten drückt.
Abbildung 3.2: Flussdiagramme der Unterfunktionsauswahl

Table of Contents

Related product manuals