EasyManua.ls Logo

Midea MC-SU60-RN1L - Page 19

Midea MC-SU60-RN1L
101 pages
Print Icon
To Next Page IconTo Next Page
To Next Page IconTo Next Page
To Previous Page IconTo Previous Page
To Previous Page IconTo Previous Page
Loading...
Aqua Tempo Super II
18 201709
Midea Aqua Tempo Super II
Service Manual
4 Startup Control
4.1 Compressor Startup Delay Control
In initial startup control and restart control (except in defrosting operation), compressor startup is delayed such that a
minimum 7 minutes has elapsed since the compressor stopped, in order to prevent frequency compressor on/off and to
equalize the pressure within the refrigerant system.
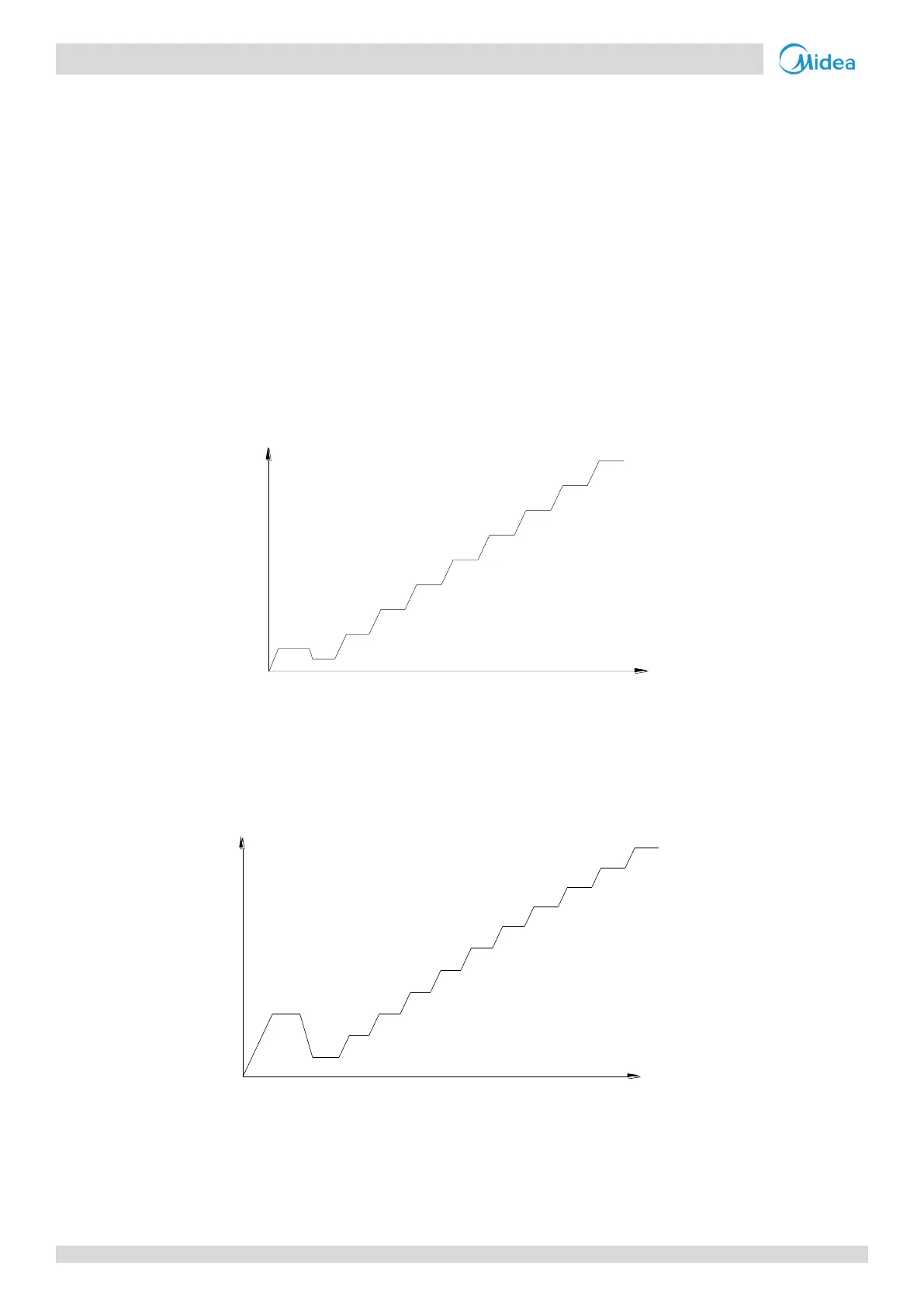
4.2 Compressor Startup Program
In initial startup control and in re-start control, compressor startup is controlled according to outdoor ambient
temperature and discharge temperature. Compressor startup follows one of two startup programs until the target rotation
speed is reached. Refer to Figures 3-4.1, 3-4.2.
Figure 3-4.1: Compressor startup program
1
when ambient temperature is above 10°C
Notes:
1. Once the first, 60-second stage of the program is complete, the program proceeds to the subsequent stages in a
step-by-step fashion and exits when the target rotation speed has been reached.
Figure 3-4.2: Compressor startup program
1
when ambient temperature is at or below 10°C
Notes:
1. Once the first, 90-second stage of the program is complete, the program proceeds to the subsequent stages in a
step-by-step fashion and exits when the target rotation speed has been reached.
42rps
60S
56rps
34rps
66rps
76rps
80rps
90rps
90S
90S
90S
90S
180S
60S
180S
100rps
Target rotation speed
Compressor
rotation speed (rps)
Time (s)
105rps
300S
42rps
90S
28rps
120S
34rps
60S
42rps
90S
56rps
60S
76rps
60S
66rps
60S
80rps
90S
90rps
180S
100rps
180S
Target rotation speed
Compressor
rotation speed (rps)
Time (s)
105rps
300S

Table of Contents

Other manuals for Midea MC-SU60-RN1L

Related product manuals