EasyManua.ls Logo

Motorola CDM Series - Page 162

Motorola CDM Series
686 pages
To Next Page IconTo Next Page
To Next Page IconTo Next Page
To Previous Page IconTo Previous Page
To Previous Page IconTo Previous Page
Loading...
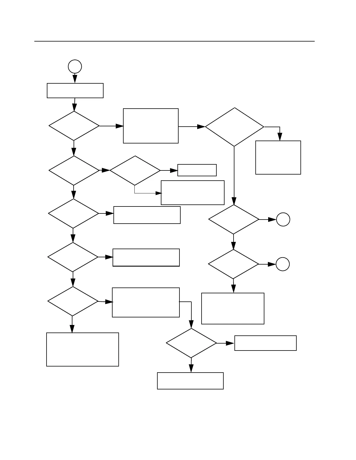
Section 4: 3-2 Troubleshooting Flow Chart for Receiver
6881091C63-F
1.1 Troubleshooting Flow Chart for Receiver (Sheet 2 of 2)
IF Signal at
C3035?
No
RF Signal at
T3001?
RF Signal at
C3012?
No
RF Signal at
C3008?
No
RF Signal at
C3474?
No or
Check Harmonic Filter
J3401 and
Antenna Switch
D3471,D3472,L3472
Check filter between C3474
& C3008. Check tuning
voltage at R3019
Inject RF into J3401
Is tuning
voltage OK?
No
Yes
Check RF amp
(Q3001) Stage
Check filter between
C3012 & T3001
Yes
Check T3001, T3002,
D3031, R3030-R3034,
L3032, C3034 and C3035
Yes
1st
LO level OK?
Locked?
Yes
Check FGU
Yes
Trace IF signal from
C3035 to Q3101.
Check for bad XTAL
filter
No
Yes
IF signal at Q3102
collector?
Before replacing
U3101, check
U3101 voltages
Yes
Check for 5VDC
Is 9.3V
present?
Check Supply Voltage
circuitry. Check Q0681,
U3211 and U0641
No
No
No
Check U3501
Check varactor filter
No
Yes
Yes
Yes
A
A
B
weak RF

Table of Contents

Other manuals for Motorola CDM Series

Related product manuals