EasyManua.ls Logo

Motorola CDM Series - Page 348

Motorola CDM Series
686 pages
To Next Page IconTo Next Page
To Next Page IconTo Next Page
To Previous Page IconTo Previous Page
To Previous Page IconTo Previous Page
Loading...
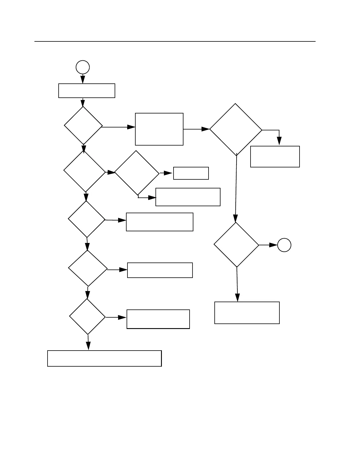
Section 7: 3-2 Troubleshooting Flow Chart for Receiver
6881091C63-F
1.1 Troubleshooting Flow Chart for Receiver (Sheet 2 of 2)
IF Signal
at pin 2 of
U1051
No
RF Signal
at pin 3 of
U1051?
RF Signal at
C1017?
No
RF Signal at
C1013?
No
RF Signal at
C1002?
No or
Check harmonic filters J1401 and ant.switch
Check preselector and
RF amp.
Inject RF into J1401
No
Yes
Check RF amp (Q1001)
Stage.
Check filter between
C1017 & mixer U1051
Yes
Check for detailed
mixer.
Yes
1st LO level
OK?
Locked?
Yes
Check FGU
Yes
Trace IF signal
from C1036 to
Q1106. Check for
bad XTAL filter.
No
Yes
IF signal at
Q1106
collector?
Before replacing
U1103, check
U1103 voltages.
Yes
Is 9.3V
present?
Check Supply Voltage
circuitry. Check U0681,
U3211 and U0641.
No
No
Yes
A
B
weak RF

Table of Contents

Other manuals for Motorola CDM Series

Related product manuals