EasyManua.ls Logo

Motorola CDM Series - Page 666

Motorola CDM Series
686 pages
To Next Page IconTo Next Page
To Next Page IconTo Next Page
To Previous Page IconTo Previous Page
To Previous Page IconTo Previous Page
Loading...
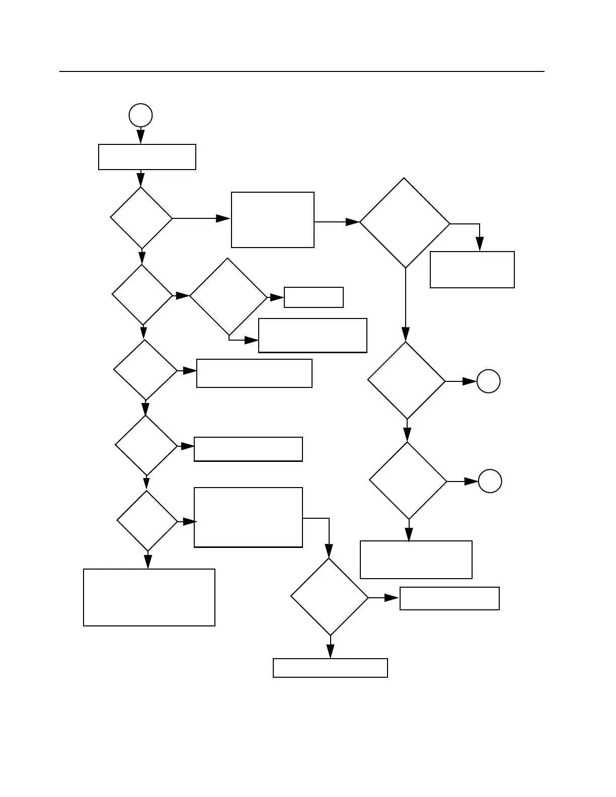
Section 13: 3-2 Troubleshooting Flow Chart for Receiver
6881091C63-F
1.1 Troubleshooting Flow Chart for Receiver (Sheet 2 of 2)
IF Signal at
C3101?
No
RF
Signal at
T5051?
RF
Signal at
C5015?
No
No
RF
Signal at
C5025?
No or
Check harmonic filter
L5491-L5493, C5492, J5401
and ant. switch
D5471, D5472, L5472.
Check filter between
C5025 & C5009.
Check tuning voltage
at R5060.
Inject RF into J5401
Is
tuning voltage
OK?
No
Yes
Check RF amp (Q5003)
Stage.
Check filter between
C5015 & T5051.
Yes
Check T5051, T5052,
D5051, R5052, L5008.
Yes
1st LO level
OK?
Locked?
Yes
Check FGU
Yes
Trace IF signal
from C3101 to
Q3101. Check for
bad XTAL filter.
No
Yes
IF
signal at Q3102
collector?
Before replacing
U3101, check
U3101 voltages.
Yes
Check for
5 VDC
Check Supply Voltage
circuitry. Check Q0681,
U5211 and U0641.
No
No
No
Check U5501.
Check varactor filter.
No
Yes
Yes
Yes
A
A
B
weak RF
RF
Signal at
C5009?
Is 9.3V
present?

Table of Contents

Other manuals for Motorola CDM Series

Related product manuals