EasyManua.ls Logo

NTI FTVN - Internal Circulation Pump

Default Icon
100 pages
Print Icon
To Next Page IconTo Next Page
To Next Page IconTo Next Page
To Previous Page IconTo Previous Page
To Previous Page IconTo Previous Page
Loading...
23
Part 1 - General Safety Information
Part 4 - Water Piping
E. Internal Circulation Pump
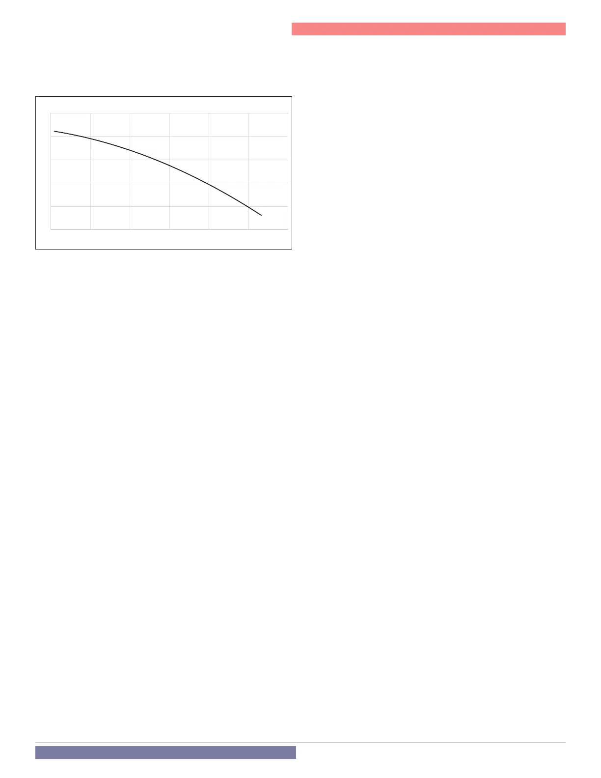
To calculate the size of the heating installation refer to the graph below.
Table 9 - Internal Circulation Head Curve
0
5
10
15
20
25
0 2 4 6 8 10 12
Head [�]
Flow Rate [US GPM]
Available Head vs. Flow Rate
Graph Representing the Available Circulation Pump Head

Table of Contents

Related product manuals