EasyManua.ls Logo

Omron RX - Page 139

Omron RX
414 pages
Print Icon
To Next Page IconTo Next Page
To Next Page IconTo Next Page
To Previous Page IconTo Previous Page
To Previous Page IconTo Previous Page
Loading...
4-34
4-2 Function Mode
4
Functions
PID Output Limit Function
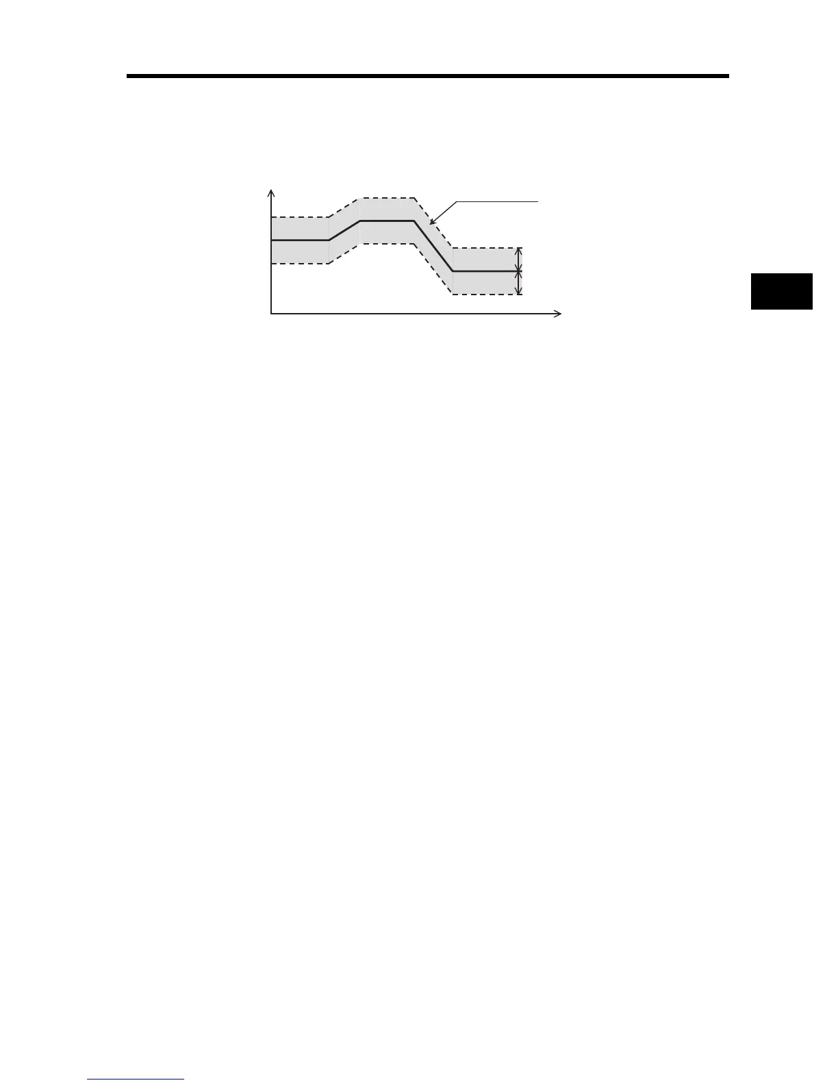
This function limits PID output within a variable range relative to the target value.
To use this function, set PID output limit function A078. The output frequency will be limited within
a range of "target value ± (A078)", with the maximum frequency defined as 100%.
With A078 set to 0.0, this function is disabled.
PID Reverse Output
When a PID operation result is a negative value under normal PID control, the frequency reference
to the Inverter is limited at 0 Hz. However, if PID selection A071 is set to "02" (reverse output
enabled), reverse output can be provided for the Inverter when the PID operation result is a negative
value.
When A071 = 02, the above-mentioned PID variable range limit function and the PID output stop
function are disabled.
PID Gain Adjustment
If a stable response cannot be obtained in PID function operation, adjust each gain as follows
according to the situation.
•Feedback value variation is slow when the target value is changed. Raise P gain A072.
•The feedback value changes fast but isn't stable. Lower P gain A072.
•The target and feedback values wouldn't match smoothly. Lower I gain A073.
•The feedback value fluctuates unstably. Raise I gain A073.
•Response is slow even with P gain raised. Raise D gain A074.
•With P gain raised, the feedback value vibrates and isn't stable. Lower D gain A074.
Excessive Deviation/Output
You can set PID deviation excessive level C044 during PID control. With this function allocated,
the multi-function output terminal is turned on when the PID deviation
reaches the set level in
C044.
C044 can be set from 0 to 100. The setting corresponds to the range of 0 to the maximum target
value.
Allocate 04 (OD) to any of multi-function output terminals C021 to C025 or relay output terminal
C026.
Feedback Comparison Signal
If a PID feedback value is out of the specified range, it can be output to a multi-function output
terminal.
Allocate 31 (FBV) to any of multi-function output terminals C021 to C025 or relay output terminal
C026.
PID output (%)
PID target
value
PID output range
PID variable range (A078)
PID variable range (A078)
Time (s)

Table of Contents

Related product manuals