EasyManua.ls Logo

Optoma ES522 - Page 20

Optoma ES522
123 pages
Print Icon
To Next Page IconTo Next Page
To Next Page IconTo Next Page
To Previous Page IconTo Previous Page
To Previous Page IconTo Previous Page
Loading...
Delta Elec. Inc. ES522 & EX532
Company Confidential Optoma___________________ Delta________________
20
2009/06/30
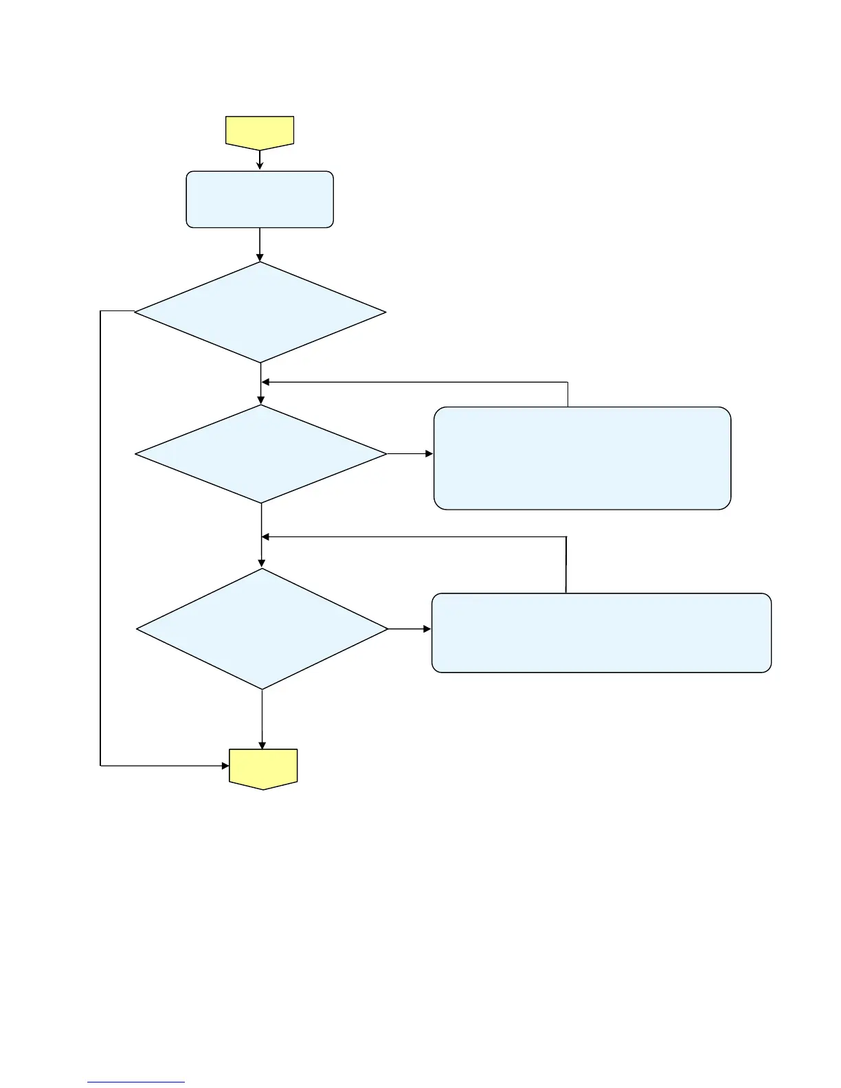
Turn the
power ON
Image
Display
< Powering up >
Power: Flashing Green
Temp: OFF
Lamp: OFF
Ignition sound doesn’t exist.
• Power Board Ass’y malfunction (CN102 doesn’t output 370 V)
• Ballast Connector (CJ4) or LVPS unit (CJ1) disconnected
Main Board (P707) disconnected
• Main Board or Ballast Ass’y malfunction
Ignition sound exists.
• Lamp failure (Lamp is broken, damaged, or burst)
• System Change a new Lamp
< Lamp error >
Power: OFF
Temp: OFF
Lamp: Static Red
< Normal operation >
Power: Flashing Green
Temp: OFF
Lamp: OFF
• Flexible cable of Color Wheel Ass’y is disconnected (P708) or broken.
• Index Board (CN7) / Main Board (P704) is disconnected
• Index Board malfunction
• Color Wheel Ass’y malfunction (doesn’t rotate).
• Main Board Ass’y malfunction (Color Wheel Ass’y doesn’t rotate).
< Color Wheel error >
Power: Flashing Green
Light 9
Temp: OFF
Lamp: OFF
Yes
Yes
No
No
No

Table of Contents

Other manuals for Optoma ES522

Related product manuals