EasyManua.ls Logo

Panasonic CS-C12KKF-2 - Cs-C18 Kkf-2 Cu-C18 Kkf-2

Panasonic CS-C12KKF-2
115 pages
Print Icon
To Next Page IconTo Next Page
To Next Page IconTo Next Page
To Previous Page IconTo Previous Page
To Previous Page IconTo Previous Page
Loading...
100
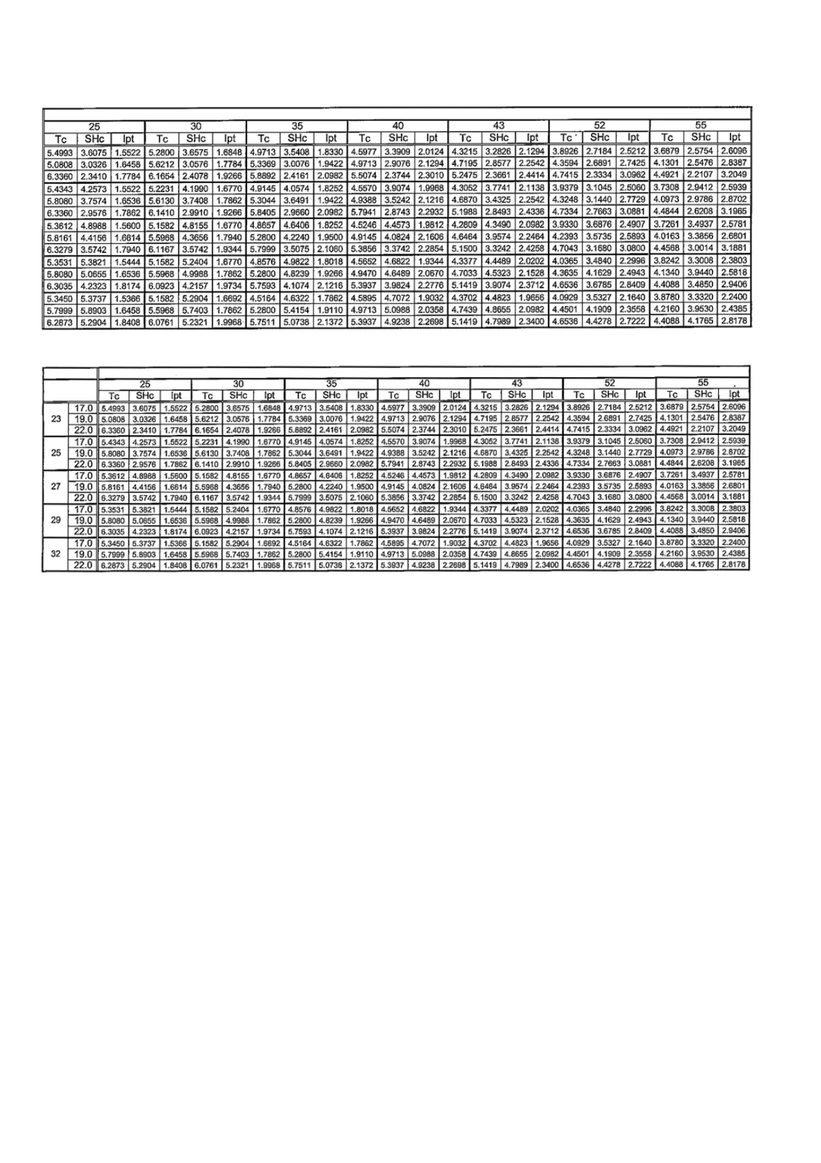
19.2 CS-C18KKF-2 CU-C18KKF-2
Cooling Capacity Performance Data (220V)
Cooling Capacity Performance Data (240V)

Table of Contents

Related product manuals