EasyManua.ls Logo

Philips BDL3215E - Configuration and Factory Reset

Philips BDL3215E
53 pages
Print Icon
To Next Page IconTo Next Page
To Next Page IconTo Next Page
To Previous Page IconTo Previous Page
To Previous Page IconTo Previous Page
Loading...
User Manual BDL3215E / BDL4225E
33
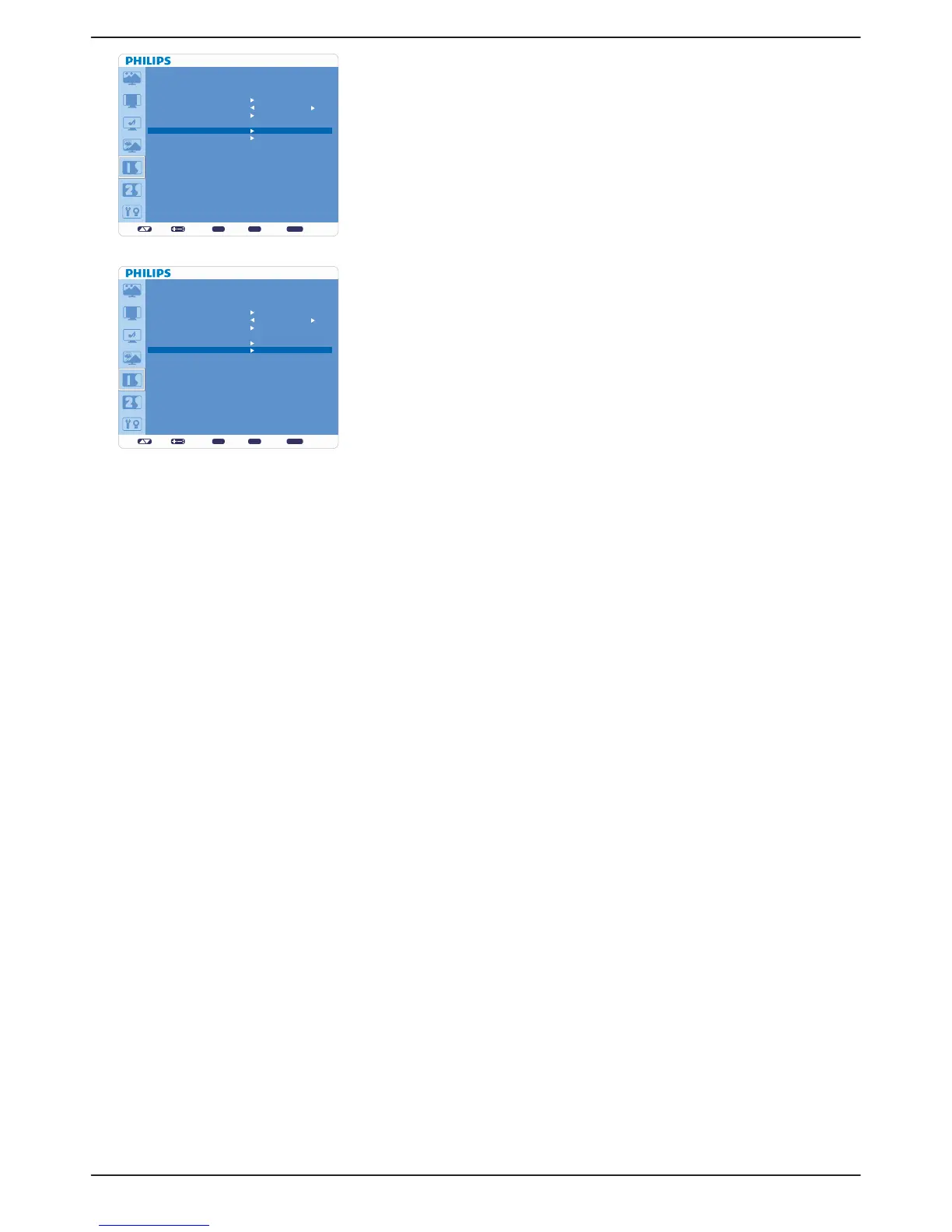
Ê CONFIGURATION RESET
Selecting “CONFIGURATION RESET” allows you to reset all configuration v
settings.
Select “Yes” and press “SET” button to restore the factory preset data.v
Press “EXIT” button to cancel and return the previous menu.v
Ê FACTORY RESET
Selecting “YES” allows you to reset “PICTURE”, “SCREEN, “AUDIO”, v
“CONFIGURATION 1, “CONFIGURATION 2” andADVANCED OPTION”
back to factory settings (except “LANGUAGE, “DATE AND TIME” and
“SCHEDULE”).
Select “YES” and press “SET” button to restore the factory preset data. v
Press “EXIT” button to cancel and return the previous menu.v
set: exit: menu:
CONFIGURATION 1
AUTO ADJUST
POWER SAVE
LANGUAGE
PANEL SAVING
COLOR SYSTEM
CONFIGURATION RESET
FACTORY RESET
Sel Adjust Enter BACK Quit
ENGLISH
set: exit: menu:
CONFIGURATION 1
AUTO ADJUST
POWER SAVE
LANGUAGE
PANEL SAVING
COLOR SYSTEM
CONFIGURATION RESET
FACTORY RESET
Sel Adjust Enter BACK Quit
ENGLISH

Other manuals for Philips BDL3215E

Related product manuals