EasyManua.ls Logo

ProLights CROMOBEAM250 - Page 31

ProLights CROMOBEAM250
Print Icon
To Next Page IconTo Next Page
To Next Page IconTo Next Page
To Previous Page IconTo Previous Page
To Previous Page IconTo Previous Page
Loading...
5
CROMOBEAM250
1. MOVING HEAD;
2. ROTARY ARM;
3. DMX OUT (3-pole XLR):
1= ground, 2 = DMX -, 3 = DMX +;
4. DMX IN (3-pole XLR):
1 = ground, 2 = DMX-, 3 = DMX+;
5. POWER IN mains plug for connection to a
socket (100-240V~/50-60Hz) via the supplied
mains cable. The support for he mains fuse is
located near the mains plug. Only replace a
blown fuse by one of the same type;
6. ON/OFF SWITCH;
7. VENTILATION OPENINGS: the openings let the
air ow in. Do not obstruct them;
8. MENU button: exits from the current menu or
function;
9. ENTER button: enables the currently displayed
menu or sets the currently selected value into
the current function;
10. DOWN button: navigates downwards through
the menu list and decreases the numeric val-
ue when in a function;
11. UP button: navigates upwards through the
menu list and increases the numeric value
when in a function;
12. LCD DISPLAY;
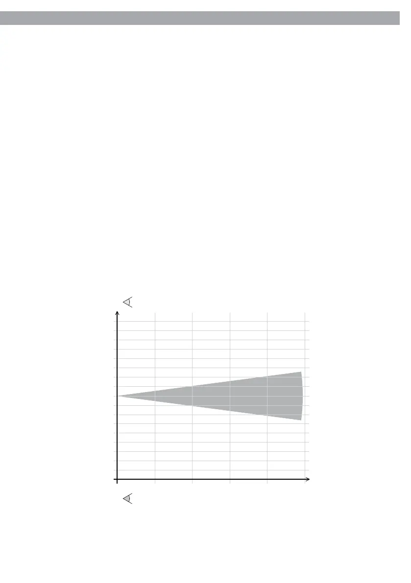
Beam Diameter (mt.)
0 2 4
6
8Dist.(mt)
Diam.(mt)
Lux Center
0,5 1,1 1,7 2,2
30000 7800 2800 1560
10
2,8
880
4
3
2
1
0
1
2
3
4
Photometric data
Fig.2

Related product manuals