EasyManua.ls Logo

Respironics V60 - Storing the Ventilator between Patient Use

Respironics V60
206 pages
Print Icon
To Next Page IconTo Next Page
To Next Page IconTo Next Page
To Previous Page IconTo Previous Page
To Previous Page IconTo Previous Page
Loading...
Setting up the ventilator for use
5-11
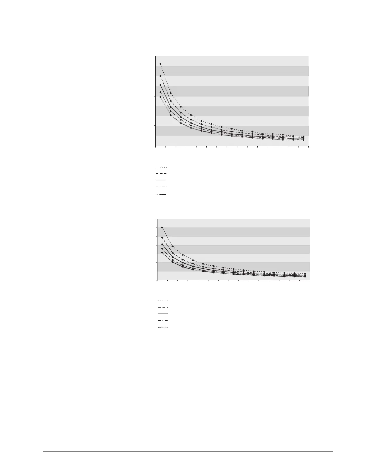
Figure 5-4: Duration of cylinder oxygen (13,790 kPa/2000 psig) at various
leak rates
Storing the ventilator
between patient use
See “Storage between patient use” on page 10-8 for information about storing
the ventilator.
Leak of 50 L/min
a. V
T
= 500 mL, Rate = 40 BPM, EPAP = 6 cmH
2
O, IPAP = 18 cmH
2
O
Leak of 10 L/min
Leak of 20 L/min
Leak of 30 L/min
Leak of 40 L/min
FIO
2
(%)
0
10
20
30
40
50
60
70
80
90
Duration (min)
30 35 40 45 50 55 60 65 70 75 80 85 90 95 100
b. V
T
= 500 mL, Rate = 20 BPM, EPAP = 6 cmH
2
O, IPAP = 18 cmH
2
O
20
40
60
80
100
120
140
0
Duration (min)
Leak of 10 L/min
Leak of 20 L/min
Leak of 30 L/min
Leak of 40 L/min
Leak of 50 L/min
30 35 40 45 50 55 60 65 70 75 80 85 90 95 100
FIO
2
(%)

Table of Contents

Related product manuals