EasyManua.ls Logo

Rinnai Infinity 32e - Page 20

Rinnai Infinity 32e
62 pages
Print Icon
To Next Page IconTo Next Page
To Next Page IconTo Next Page
To Previous Page IconTo Previous Page
To Previous Page IconTo Previous Page
Loading...
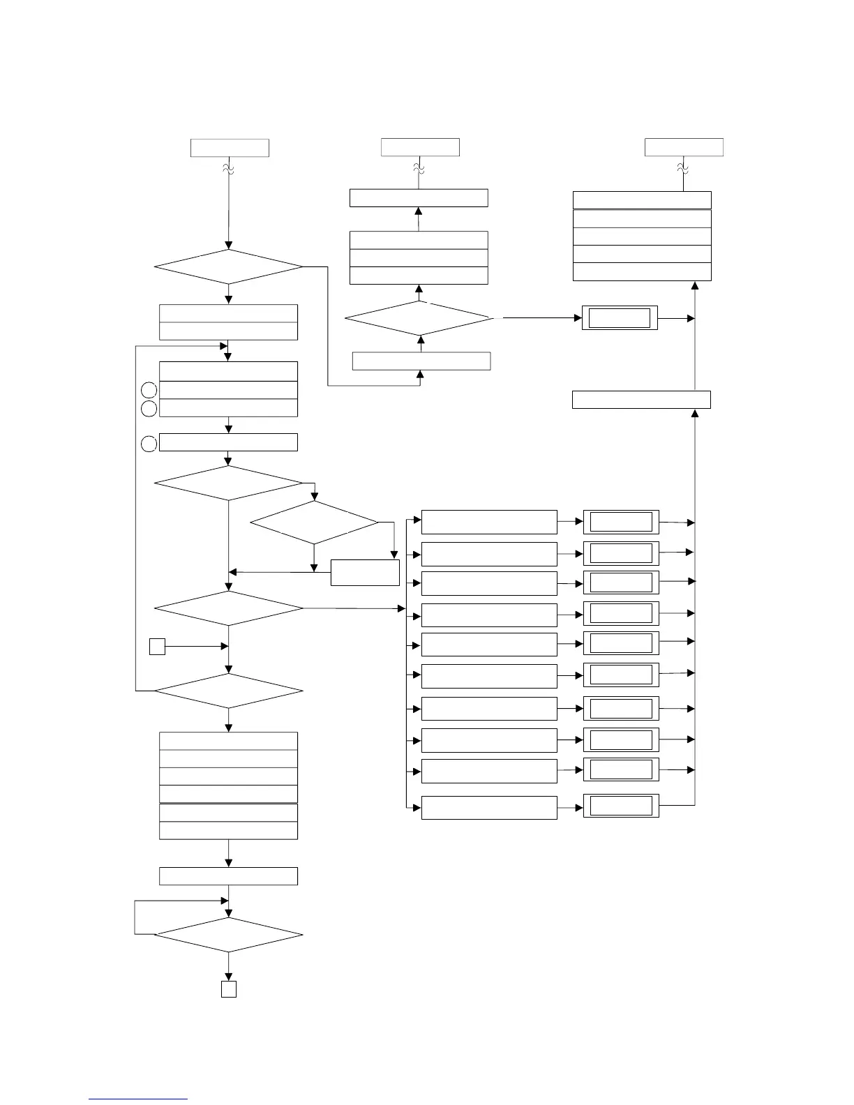
Infinity REU-V3232W /HD250E REU-V3232WC - 15 - Issue 1 - 8/09/03 ©Rinnai
A
12 flashing
14 flashing
16 flashing
12 flashing
32 flashing
33 flashing
52 flashing
61 flashing
71 flashing
10 flashing
Flame detected
(>1uA)
Combustion indicator ON
Sparker OFF
Gas modulating control ON
Solenoid valve 2 ON
Solenoid valve 3 ON
Water flow control ON
Fan control normal
Auto. fan
revolution control
Input down
operation
Safety device normal
HEX outgoing
temp. > 95°C
Main solenoid valve OFF
Solenoid valve 1 OFF
Solenoid valve 2 OFF
Solenoid valve 3 OFF
Modulating valve OFF
Combustion indicator OFF
Combustion fan OFF
HEX outgoing
temp. < 60°C
(after 65 seconds)
NO
YES
YES
NO
YES
YES
NO
Max. fan revolution
(2 seconds)
Solenoid valve 1 OFF
Main solenoid valve OFF
Modulating valve OFF
Ignition failure
< 2 times
Sparker OFF
(after 4 secs)
Modulating valve OFF
Solenoid valve 3 OFF
Solenoid valve 2 OFF
Solenoid valve 1 OFF
Main solenoid valve OFF
11 flashing
Flame current abnormal
Thermal fuse activated
Outgoing water temperature
>105°C
Control circuit short
Outgoing thermistor faulty
HEX outgoing thermistor faulty
Modulating valve faulty
Combustion fan rotation
abnormal
Solenoid valve circuit faulty
Combustion faulty
Combustion indicator OFF
B
NO
YES
NO
14
15
16
from previous page
from previous page from previous page
YES
NO
NO
YES

Related product manuals