EasyManua.ls Logo

Shini STM-910W - Pump Performance; Reference Formula of Mould Controllers Model Selection

Shini STM-910W
107 pages
Print Icon
To Next Page IconTo Next Page
To Next Page IconTo Next Page
To Previous Page IconTo Previous Page
To Previous Page IconTo Previous Page
Loading...
13(107)
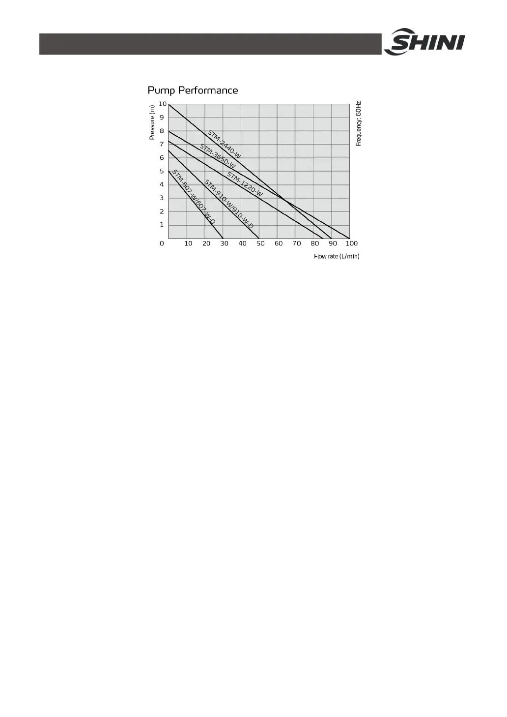
1.3.2 Pump Performance
Picture 1-1Pump Performance
1.3.3 Reference Formula of Mould Controllers Model Selection
Heater Power (kW) = mould weight (kg) × mould specific heat (kcal/kg) ×
temperature difference between mould and environment () × safety coefficient
/ heating duration / 860
Note: safety coefficient can select a value from 1.3 to 1.5.
Flow Rate (L/min) = heater power (kw) × 860 / [heating medium specific
(kcal/kg) × heating medium density (kg/L)×in/outlet temperature difference
()× time (60)]
Note: Water specific heat =1kcal/kg
Heating medium oil specific heat =0.49kcal/kg
Water density =1kg/L
Heating medium oil density =0.842kg/L

Table of Contents