EasyManua.ls Logo

Siemens SIMATIC MICRO-DRIVE PDC600 - Page 41

Siemens SIMATIC MICRO-DRIVE PDC600
46 pages
Print Icon
To Next Page IconTo Next Page
To Next Page IconTo Next Page
To Previous Page IconTo Previous Page
To Previous Page IconTo Previous Page
Loading...
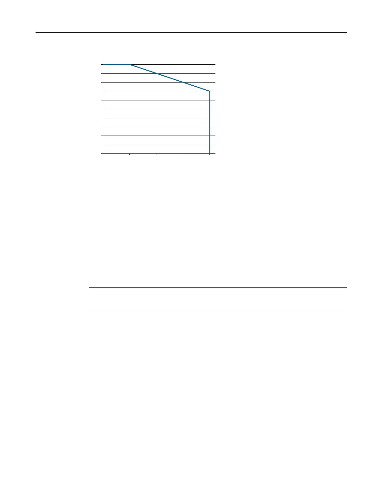
Figure5-1 Derating for PDC600(F) as a function of the installation height
Derating as a function of the mounting position
For vertical mounting (vertical mounting rail), the PDC600 may be operated up to a maximum
ambient temperature of 40 °C. A derating of the power output to 500 W must be observed; this
corresponds to a rated current of the power section of 9.1A
e󹪜
.
Derating depending on the ambient temperature
For horizontal mounting (horizontal mounting rail), no restrictions are necessary for the
PDC600 up to an ambient temperature of 40°C.
A derating of 2.5%/K must be observed up to a maximum temperature of 60°C. The motor
current must be reduced.
Note
Note the simultaneity factors of the inputs/outputs in this section.
The 󹪝gure below shows the maximum permitted output current of the power unit as a
function of the ambient air temperature for the derating.
Technical speci󹪝cations
5.2Drive controller derating
PDC600(F)
Equipment Manual, 12/2023, A5E50502703-AB 39

Related product manuals