EasyManua.ls Logo

Siemens SIMOTICS 1FT2104-4AF - Page 41

Siemens SIMOTICS 1FT2104-4AF
140 pages
Print Icon
To Next Page IconTo Next Page
To Next Page IconTo Next Page
To Previous Page IconTo Previous Page
To Previous Page IconTo Previous Page
Loading...
Mechanical properties
3.6 Radial and axial forces
1FT2 synchronous motors for SINAMICS S120
Configuration Manual, 03/2021, A5E50645584B AA
39
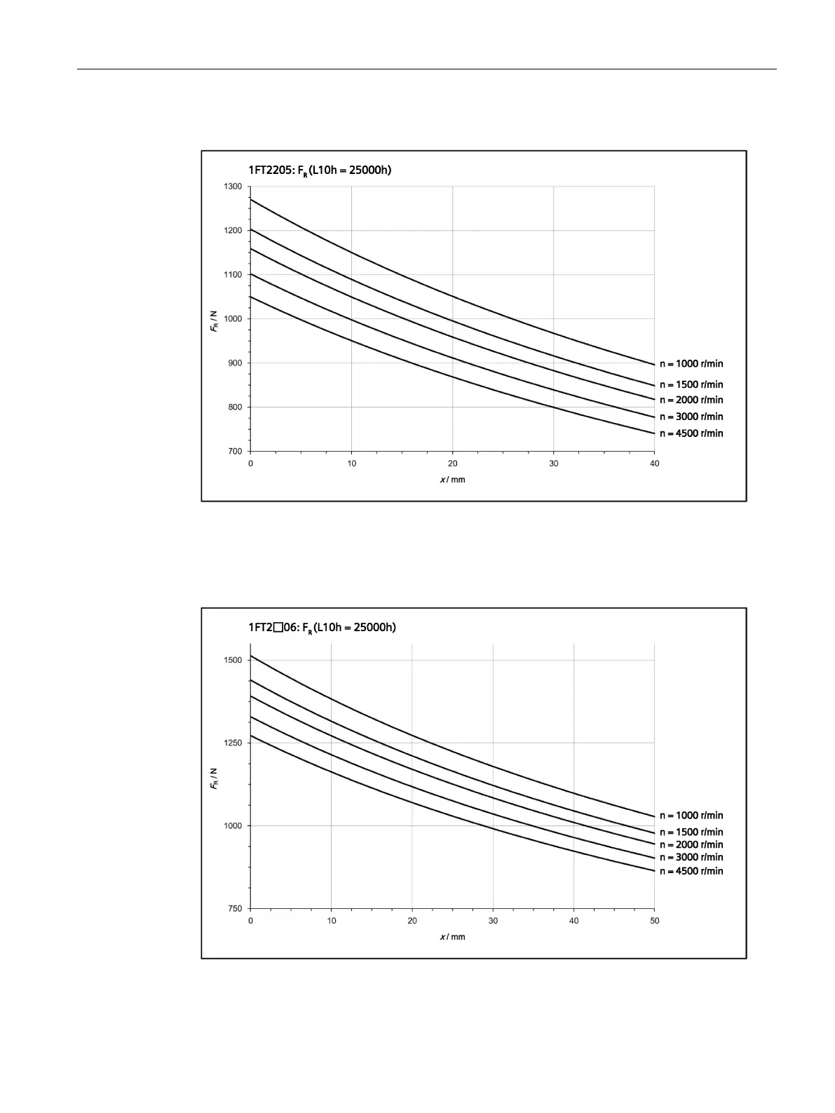
Radial force diagram 1FT2205
Figure 3-5 Maximum permissible radial force FR at a distance x from the flange for a nominal bearing
lifetime of 25000 h
Radial force diagram 1FT2x06
Figure 3-6 Maximum permissible radial force F
R at a distance x from the flange for a nominal bearing
lifetime of 25000 h

Table of Contents

Related product manuals